工业革命以来,全球城市化与工业化进程加速,土地资源的高强度开发引发人地关系失衡,水土流失、生物多样性锐减、气候调节功能退化等生态危机频发。传统土地利用规划依赖经验驱动或单一模型模拟,难以精准捕捉人类活动与生态系统的复杂交互机制。随着 AI 技术的突破,尤其是大模型在地理空间分析中的应用,为破解 “土地利用变化 — 生态系统服务” 耦合模拟的技术瓶颈提供了新范式。
生态系统服务作为维系人类福祉的核心支撑,其供给能力与土地利用格局紧密相关。高频次的人类活动导致土地利用快速变化,进而影响生态系统结构功能,加剧服务供给的不确定性。情景分析作为评估生态服务权衡关系的成熟方法,需依托高精度模型模拟土地利用变化的非线性过程。本课程聚焦的 PLUS 模型,内嵌 Markov 链与多类型随机斑块种子 CA 模型,结合 AI 数据处理与参数优化技术,可精准模拟不同政策情景下土地利用演变的斑块级细节,量化其对产水、碳储量、生境质量等生态服务的潜在影响。
面对未来土地情景演替加剧的挑战,融合 AI 的多情景模拟技术成为刚需:通过 InVEST 模型量化生态服务时空异质性,借助 ArcGIS 实现空间数据处理与分析,结合 AI 辅助情景设计与结果归因,形成 “数据预处理 — 模型模拟 — 决策支持” 的全链条解决方案。本课程以典型区域为案例,系统讲解从历史数据驱动的土地利用预测,到生态服务空间异质性归因的核心技术,助力学员掌握 AI 赋能下的人地系统模拟方法,为区域生态安全维系与可持续土地规划提供技术支撑。
【会议福利】

直播时间
报名后加入专属直播助学群,会议流程、会议准备、注意事项、课程资料及数据会提前在助学群中公布。
1.原理深入浅出的讲解,强调原理的重要性;2.技巧方法讲解,提供课程配套的完整教材数据及提供长期回放;3.与项目案例相结合,更好的对接实际工作应用;4.跟学上机操作、独立完成案例操作练习、全程问题跟踪解析;5.专属助学群辅助巩固学习及实际工作应用交流,不定期召开线上答疑。


第一章 理论基础与软件讲解
1、概念界定与理论基础
土地利用
多情景模拟
生态系统服务
2、地理数据简介
地理数据库:
文件地理数据库:保存在文件系统文件夹中的多种类型的 GIS 数据集的集合
个人地理数据库:在 Microsoft Access 数据文件中存储和管理的 ArcGIS 地理数据库的原始数据格式
栅格数据:由按行和列(或格网)组织的像元(或像素)矩阵组成,其中的每个像元都包含一个信息值。栅格可以是数字航空像片、卫星影像、数字图片或甚至扫描的地图
矢量数据:存储地理要素的几何位置和属性信息的非拓扑简单格式,地理要素通过点、线或面(区域)来表示

表格数据:

3、ArcGIS空间数据处理与分析介绍与实践
ArcGIS平台简介
ArcGIS常用坐标系
ArcGIS空间数据处理及转换
ArcGIS空间分析
ArcGIS制图技巧
4、PLUS模型和InVEST模型介绍及安装
PLUS版本介绍,安装
PLUS软件界面,常用功能介绍
InVEST版本介绍,安装
InVEST软件界面,常用功能介绍
过去踩过的那些坑—常见错误和使用注意;路径问题等
5、从一篇论文读懂一个前沿范式
论文中技术路线图背后的完整故事

第二章 AI支持下数据处理与分析
1、土地利用数据
土地利用数据集介绍及获取方法
土地利用数据集选取
土地利用数据预处理:影像拼接、裁剪、重投影等
2、驱动因子数据
气候环境数据
社会经济数据

3、不同类型数据制备方法与实践
栅格数据处理:
栅格影像拼接、裁剪、重投影及重采样等处理;
基础地理信息数据处理及空间分析:
欧氏距离算法介绍与分析
密度分析算法介绍与分析

地形因子提取
坡度、坡向、地形起伏度、山体阴影等地形因子提取的原理与方法

土壤因子数据提取
属性表的编辑与导出
连接表的属性
重分类:多种可对输入像元值进行重分类或将输入像元值更改为替代值的方法
查找表:通过在输入栅格数据表中查找另一个字段的值来新建栅格

气象因子数据处理:
站点数据下载及提取
插值分析:反距离权重法(inverse distance weighting,IDW)、自然邻域法、趋势面法和样条函数法等方法对气象站点数据插值分析
NetCDF 数据处理:根据 NetCDF 文件创建栅格图层

栅格数据的转换方法

4、AI助力:数据处理与分析支持
数据预处理:AI辅助处理环境、气候和土地利用数据;指导用户清洗、格式化和准备数据
文本数据处理:AI可以帮助提取文献、报告和专家意见等文本数据的关键信息、自动化文献综述、提取数据点以及将复杂的技术文本转化为简洁易懂的内容
第三章 AI辅助下土地利用格局模拟
1、PLUS模型原理
基于土地扩张分析策略的规则挖掘框架
基于多类型随机斑块种子的CA模型
2、PLUS模型构建及精度验证
土地利用扩张分析

模拟参数设置
(1)限制区域
(2)领域效应
(3)转化成本
(4)领域权重
(5)土地利用需求
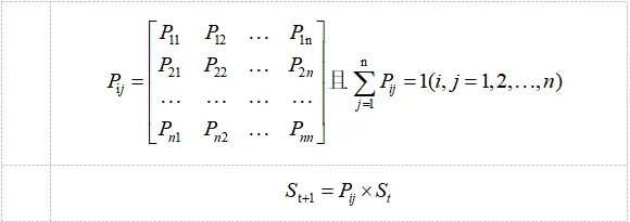
利用Markov模型来预测完成。

式中:St、St+1为t、t+1时期土地利用,Pij为转移概率矩阵,n为土地利用类型。
模型精度验证
总体精度(overall accuracy)
Kappa系数
3、不同情景下横断山区土地利用格局模拟
自然发展情景下土地利用模拟
生态保护情景下土地利用模拟
经济发展优先情景下土地利用模拟

4、AI助力:
1)情景模拟的设计与优化
情景构建建议:帮助研究人员设计不同的情景变量,例如土地利用变化、气候变化等。根据已有的学术研究和文献推荐可能的情景变化方向。
情景分析的沟通与解释:通过AI生成的自然语言报告,更清楚地理解不同情景下生态系统服务的变化,帮助决策者做出更加科学的决策。
2)模型结果解读与决策支持
结果分析与报告生成:AI可以帮助生成分析报告,解释各项指标在不同情景下的变化。
情景间的比较分析:AI能够帮助对比不同情景模拟的结果,帮助决策者制定更合理的土地利用和环境保护政策。
3)模型优化与定制化
模型参数调优:调整PLUS模型中的参数,以更好地适应特定的研究区域或情景。
方案推荐与情景迭代:根据模拟结果推荐进一步的情景迭代。
第四章 生态系统服务评估
1、InVEST模型原理与模块
2、产水服务


数据需求与制备:

3、土壤保持

数据需求与制备:

4、碳储量

数据需求与制备:

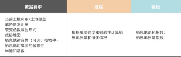
5、生境质量

数据需求与制备:

6、AI助力:

1)数据收集与整理
数据来源指导
格式转换与处理
缺失值处理
2)模型参数设置与运行
参数理解与解释
参数优化建议
模型运行指导
3)结果分析与可视化
结果解读
可视化展示
不确定性分析
第五章 AI辅助下时空变化及驱动机制分析
1、土地利用时空变化分析
土地利用结构变化分析
土地利用动态度分析
土地利用转移矩阵分析
土地利用标准差椭圆分析

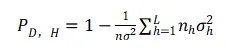
2、空间自相关 (Global Moran's I) (Spatial Statistics) 分析原理与实践


3、高/低聚类(Getis-Ord General G)分析 的工作原理与实践
使用 Getis-Ord General G 统计可度量高值或低值的聚类程度。


4、空间分层异质性分析
地理探测器原理
地理探测器模块安装与介绍
因子检测

交互探测

5、局域回归分析
地理加权回归模型介绍

模型建立的基本准则
(1) 空间权重系数确定
(2) 带宽选择准则
参数及评价指标分析
回归系数空间格局分析

6、AI助力:
分析方法与技术支持

时空分析方法选择
GIS 技术应用指导
模型构建与应用:
驱动因素提取与因果分析辅助
驱动因素梳理
驱动机制探讨
因果链逻辑整理
结果解读与可视化
结果分析与解读
可视化设计与实现
时空变化叙述与自动总结
第六章 AI助力论文撰写技巧及案例分析
1、领域前沿与SCI论文写作基础认知
领域前沿解读:AI驱动在生态系统服务模拟、土地利用优化中的研究热点、发展趋势与研究空白,结合国内外最新SCI论文(近3年),明确研究(AI+PLUS-InVEST模型)的定位与优势。
SCI论文核心认知:生态环境/土地科学领域SCI论文的核心要求(创新性、科学性、规范性、可读性),不同分区(Q1/Q2)期刊的差异的侧重点,投稿全流程(选题-撰写-修改-投稿-返修)介绍。
2、科技论文写作
介绍摘要、绪论、方法、结果、讨论、结论的写作要点
确定创新方向+文献综述
数据收集与预处理
模型构建与初步分析
结果深化与论文大纲
初稿完成
修改完善+投稿准备
3、SCI论文案例分析
论文生产线构建
从数据到图表的自动化生成流程
结果分析与统计的代码化实现
论文草稿的模块化撰写
各章节写作精要
引言写作公式:研究领域→研究空白→本文贡献
方法部分:确保可复现性的写作技巧
结果与讨论:有层次的发现呈现与深度分析
图表设计:学术图表的美学与信息密度平衡
投稿与回复策略
期刊选择的多维度评估
投稿信与亮点提炼
审稿意见回复模板与策略
4、模型应用可拓展方向

AI助力:
自动化文献综述与跨学科整合
自动化摘要和结论撰写
相关文献与研究案例介绍
政策应用与建议
跨学科知识融合
研究方向拓展
学术表达优化

网络直播+视频回放+全部课程资料+助学群辅助
(点击课程标题查看详情)
(点击课程标题查看详情)
AI+学术双驱高强度论文写作特训营工具实操+完整初稿 |
最新AI驱动科研全链路实战营:贯通LLM应用→数据分析→自动化编程→文献及知识管理→科研写作与绘图→构建本地LLM、Agent→多模型圆桌会议→N8N自动化工作流深度应用 |
“OpenClaw+Vibe Coding核心实战玩法,手把手教你本地部署与云端协同,实现知识、论文自动化工作流”培训班 |
体系课程+课件资料及数据代码+导师随行辅导 |
水文、地下水土壤体系课程(即买即看)
点击下方标题查看详情
| 语言类体系课程(即买即看)点击下方标题查看详情 |
|---|
最新ChatGPT、DeepSeek等大语言模型助力高效办公、论文与项目撰写、数据分析、机器学习与深度学习建模等深度科研应用 |
体系课程+课件资料及数据代码+导师随行辅导 在校学生享专属优惠,最高享受7.5折优惠 |
会员专享
如何成为会员:
1.凡参加Ai尚研修收费课程即为会员;
2.学生凭有效证件享受会员85折优惠。
会员特权:
1.参加直播、视频课程费用累积进行折扣,享8.5折-7.5折 (一阶会员8.5折,高阶会员8折,尊享会员7.5折);2.参与课程组织与报名,推荐者可获得课程5%推荐现金;3.免费享受Ai尚研修会议平台中“会员免费”视频教程;4.长期免费参与针对各领域简学实用公开课(无门槛);5.免费参与开设的导师面对面线上答疑交流;6.Ai尚研修资源站分享中数据免费下载。
Ai尚研修-王艳
END
夜雨聆风