当前位置:首页>文档>第19章一次函数能力提升测试卷(学生版)_初中数学_八年级数学下册(人教版)_知识解读与题型专练-V14_2025版

第19章一次函数能力提升测试卷(学生版)_初中数学_八年级数学下册(人教版)_知识解读与题型专练-V14_2025版

  • 2026-03-31 17:13:34 2026-03-28 03:48:05

文档预览

第19章一次函数能力提升测试卷(学生版)_初中数学_八年级数学下册(人教版)_知识解读与题型专练-V14_2025版
第19章一次函数能力提升测试卷(学生版)_初中数学_八年级数学下册(人教版)_知识解读与题型专练-V14_2025版
第19章一次函数能力提升测试卷(学生版)_初中数学_八年级数学下册(人教版)_知识解读与题型专练-V14_2025版
第19章一次函数能力提升测试卷(学生版)_初中数学_八年级数学下册(人教版)_知识解读与题型专练-V14_2025版
第19章一次函数能力提升测试卷(学生版)_初中数学_八年级数学下册(人教版)_知识解读与题型专练-V14_2025版
第19章一次函数能力提升测试卷(学生版)_初中数学_八年级数学下册(人教版)_知识解读与题型专练-V14_2025版
第19章一次函数能力提升测试卷(学生版)_初中数学_八年级数学下册(人教版)_知识解读与题型专练-V14_2025版
第19章一次函数能力提升测试卷(学生版)_初中数学_八年级数学下册(人教版)_知识解读与题型专练-V14_2025版
第19章一次函数能力提升测试卷(学生版)_初中数学_八年级数学下册(人教版)_知识解读与题型专练-V14_2025版
第19章一次函数能力提升测试卷(学生版)_初中数学_八年级数学下册(人教版)_知识解读与题型专练-V14_2025版
第19章一次函数能力提升测试卷(学生版)_初中数学_八年级数学下册(人教版)_知识解读与题型专练-V14_2025版
第19章一次函数能力提升测试卷(学生版)_初中数学_八年级数学下册(人教版)_知识解读与题型专练-V14_2025版

文档信息

文档格式
docx
文档大小
2.086 MB
文档页数
8 页
上传时间
2026-03-28 03:48:05

文档内容

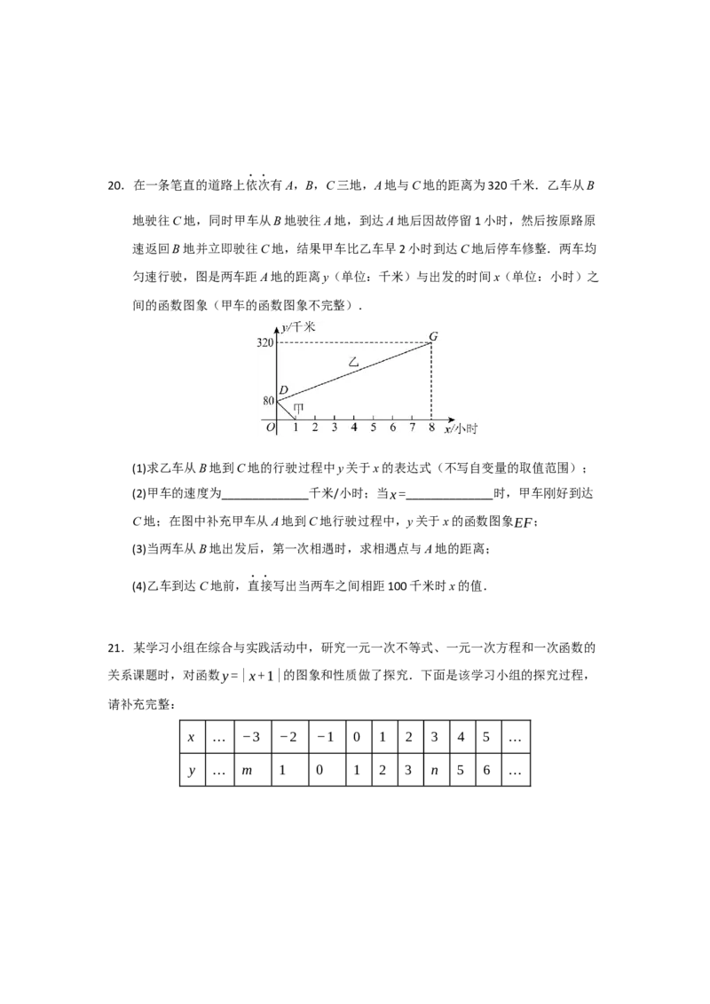
第19章 一次函数能力提升测试卷 (考试时间:90分钟 试卷满分:100分) 一、单项选择题(本题共10小题,每小题3分,共30分。在每小题给出的四个选项中, 只有一项是符合题目要求的。) x 2 1.在函数①y=2x−1;②y= ;③y=−x;④y= 中一次函数有( ) 2 x A.1个 B.2个 C.3个 D.4个 2.已知一次函数y=−3x+4,则下列说法中正确的是( ) A.y的值随x的值的增大而增大 B.该函数的图象不经过第四象限 C.该函数的图象经过点(1,1) D.将一次函数y=−3x的图象向左平移4个单位长度得到函数y=−3x+4的图象 3.已知正比例函数y=kx(k为常数,k≠0),若y的值随着x值的增大而减小,则一次函 数y=kx+k在平面直角坐标系中的图象可能是( ) A. B. C. D. 4.如图,点A点的横坐标为a,根据图像,判断下列说法正确的是( ) A.当x>0时,y<2 B.当x=2时,y=0 C.当x>1时,y随x的增大而减小 D.当xy B.y 2的解集为 ; 1 ③函数y=|x+1|与y=− x+m的图象只有两个交点,其中交点坐标分别是(1,2)和 5 1 (a,3).当|x+1|<− x+m时,直接写出不等式的解集. 5 22.定义:一次函数y=kx+b(k≠0且b≠0)和一次函数y=−bx−k为“逆反函数”, 如y=3x+2和y=−2x−3为“逆反函数”.如图1,一次函数l :y=x−2的图象分 1 别交x轴、y轴于点A、B. (1)请写出一次函数l 的“逆反函数”l 的解析式______;点C(a,0)在l 的函数图象上, 1 2 2则a的值是______. (2)一次函数l 图象上一点D(m,n)又是它的“逆反函数”l 图象上的点, 1 2 ①求出D点坐标; ②求出△ACD的面积. (3)如图2,过点D作y轴的垂线段DE,垂足为E,M为y轴上的一点,且 ∠MDE=∠CDA,请直接写出直线DM的解析式.