当前位置:首页>文档>专题27解一元一次方程特训50道(原卷版)_北师大初中数学_7上-北师大版初中数学_7上-初中数学北师大(旧版)赠送_06专项讲练

专题27解一元一次方程特训50道(原卷版)_北师大初中数学_7上-北师大版初中数学_7上-初中数学北师大(旧版)赠送_06专项讲练

  • 2026-04-29 08:57:52 2026-04-13 07:38:03

文档预览

专题27解一元一次方程特训50道(原卷版)_北师大初中数学_7上-北师大版初中数学_7上-初中数学北师大(旧版)赠送_06专项讲练
专题27解一元一次方程特训50道(原卷版)_北师大初中数学_7上-北师大版初中数学_7上-初中数学北师大(旧版)赠送_06专项讲练
专题27解一元一次方程特训50道(原卷版)_北师大初中数学_7上-北师大版初中数学_7上-初中数学北师大(旧版)赠送_06专项讲练
专题27解一元一次方程特训50道(原卷版)_北师大初中数学_7上-北师大版初中数学_7上-初中数学北师大(旧版)赠送_06专项讲练
专题27解一元一次方程特训50道(原卷版)_北师大初中数学_7上-北师大版初中数学_7上-初中数学北师大(旧版)赠送_06专项讲练
专题27解一元一次方程特训50道(原卷版)_北师大初中数学_7上-北师大版初中数学_7上-初中数学北师大(旧版)赠送_06专项讲练
专题27解一元一次方程特训50道(原卷版)_北师大初中数学_7上-北师大版初中数学_7上-初中数学北师大(旧版)赠送_06专项讲练
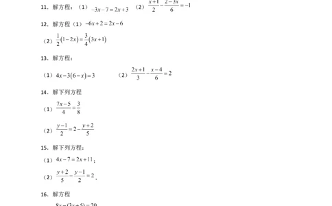
专题27解一元一次方程特训50道(原卷版)_北师大初中数学_7上-北师大版初中数学_7上-初中数学北师大(旧版)赠送_06专项讲练
专题27解一元一次方程特训50道(原卷版)_北师大初中数学_7上-北师大版初中数学_7上-初中数学北师大(旧版)赠送_06专项讲练
专题27解一元一次方程特训50道(原卷版)_北师大初中数学_7上-北师大版初中数学_7上-初中数学北师大(旧版)赠送_06专项讲练
专题27解一元一次方程特训50道(原卷版)_北师大初中数学_7上-北师大版初中数学_7上-初中数学北师大(旧版)赠送_06专项讲练

文档信息

文档格式
docx
文档大小
0.148 MB
文档页数
7 页
上传时间
2026-04-13 07:38:03

文档内容

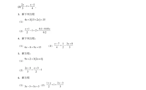
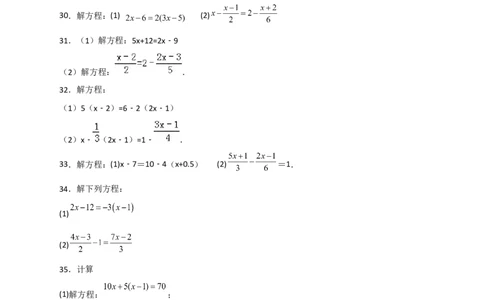
专题27 解一元一次方程特训50道 1.解下列方程: (1)5x﹣3(x﹣1)=9﹣2(x+1) (2) 2.解方程: (1) (2) . 3.解下列方程 (1) (2) 4.解下列方程: (1) (2) 5.解方程: (1) (2) 6.解方程 (1) (2) 7.解方程: (1) ;(2) 8.解方程: (1) 5(x+8) 5= 6(2x 7); (2) . 9.解方程(1) (2) 10.解方程: (1) (2) 11.解方程:(1) (2) 12.解方程(1) (2) 13.解方程: (1) (2) 14.解下列方程 (1) (2) 15.解下列方程: (1) ; (2) . 16.解方程 (1) (2) 17.解方程:(1) (2) 18.解方程 (1)4x﹣2=x+7(2) =﹣1 19.解方程: (1) (2) 20.解方程:(1)4x 2 3 x (2) 4 - = - - = 21.解方程 . 22.解下列方程 (1) (2) 23.解方程 ; 24.解方程 (1) (2) 25.解方程: (1)4x﹣10=6(x﹣2); (2) . 26.解方程: (1)-3x-7=2x+3 (2) 27.解方程:(1)2(3x-1)=16 (2) -1= 28.解方程: (1) -3x + 9 = 2(-x + 2);(2) 29.解方程: (1)4x﹣2(x+0.5)=17 (2) ﹣ =1. 30.解方程:(1) (2) 31.(1)解方程:5x+12=2x﹣9 (2)解方程: . 32.解方程: (1)5(x﹣2)=6﹣2(2x﹣1) (2)x﹣ (2x﹣1)=1﹣ . 33.解方程:(1)x﹣7=10﹣4(x+0.5) (2) =1. 34.解下列方程: (1) (2) 35.计算 (1)解方程: ; (2)解方程: . 36.解方程 (1) (2) 37.解方程:(1)4x+3(20﹣x)=﹣4; (2) 1. 38.解方程: (1)2(3x﹣1)﹣12=1+x; (2) . 39.解方程 (1)4(x+0.5)+x=7; (2) . 40.(1)解方程:3(20+x)+5=2(5x+1); (2)解方程:x﹣ =1+ . 41.解下列方程: (1)解方程 (2)解方程: 42.解方程: (1) ; (2) . 43.解方程 (1) (2) 44.解方程 (1) (2) 45.解方程: (1)4x﹣3(20﹣x)=3 (2) 246.解方程: (1)7﹣3(x﹣1)=﹣x; (2) . 47.解方程(1) . (2) . 48.解方程 (1) (2) 49.解方程 (1) (2) 50.(1)解方程: (2)解方程: .