当前位置:首页>文档>怎样通知最快_教学设计_小学数学人教版单独教案(1-6上下册)_《智慧教育教案》1-6上下册(25秋)_1-6下册_5年级下册(教案)新插图_第6单元分数的加法和减法

怎样通知最快_教学设计_小学数学人教版单独教案(1-6上下册)_《智慧教育教案》1-6上下册(25秋)_1-6下册_5年级下册(教案)新插图_第6单元分数的加法和减法

  • 2026-04-24 20:07:57 2026-04-24 20:07:57

文档预览

怎样通知最快_教学设计_小学数学人教版单独教案(1-6上下册)_《智慧教育教案》1-6上下册(25秋)_1-6下册_5年级下册(教案)新插图_第6单元分数的加法和减法
怎样通知最快_教学设计_小学数学人教版单独教案(1-6上下册)_《智慧教育教案》1-6上下册(25秋)_1-6下册_5年级下册(教案)新插图_第6单元分数的加法和减法
怎样通知最快_教学设计_小学数学人教版单独教案(1-6上下册)_《智慧教育教案》1-6上下册(25秋)_1-6下册_5年级下册(教案)新插图_第6单元分数的加法和减法
怎样通知最快_教学设计_小学数学人教版单独教案(1-6上下册)_《智慧教育教案》1-6上下册(25秋)_1-6下册_5年级下册(教案)新插图_第6单元分数的加法和减法

文档信息

文档格式
docx
文档大小
0.367 MB
文档页数
4 页
上传时间
2026-04-24 20:07:57

文档内容

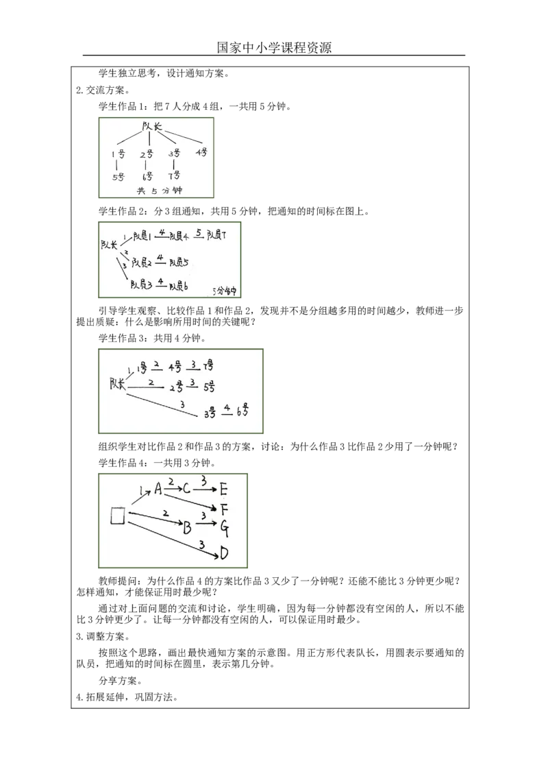
国家中小学课程资源 教学设计 课程基本信息 学科 数学 年级 五 学期 春季 课题 怎样通知最快 教科书 书 名:义务教育教科书数学五年级下册 出版社:人民教育出版社 出版日期:2022年12月 教学目标 1.通过画图、列表格等方式,找到最快通知的最优方案。理解“让每一个人都不空闲”是形 成最优方案的关键,发现事物隐含的规律,能设计最省时的通知方案。 2.经历针对问题提出设计思路、制定简单方案解决问题的过程,培养归纳推理和解决实际问 题的能力,体会数形结合、推理、优化、模型等数学思想。 3.进一步体会数学与生活的密切联系以及优化思想在生活中的应用。 教学内容 教学重点: 用画图、列表格等方式,找到最快通知的最优方案,并理解形成最优方案的道理。 教学难点: 理解形成最优方案的关键,发现事物隐含的规律。 教学过程 一、谈话引入,提出问题 看到这个题目,大家一定在思考:今天我们研究的内容能用到什么数学知识呢?带着 你们的疑问一起开启今天的学习吧。 二、自主探究 (一)根据情境提出设计方案的思路 一个应急小队接到紧急任务,队长需要尽快将任务通知到50名队员。任务必须一对一 进行传达,每分钟通知1人,请你帮助队长设计一个最快的通知方案。 1.引导学生自主整理信息并交流。 2.初步交流解决问题的思路。 预设1:一个一个通知。 预设2:分组通知。 预设3:50个人比较多,应该会有很多种分组的方法。不同的分组方法用的时间会一 样吗? 结合学生交流中提出的困惑,教师引导学生回顾以往的学习经历,可以把数据变小一 些进行研究,发现规律,再用规律解决问题的方法。 (二)在多种方案中探究最优方案 以7人为例,组织学生按要求设计最快的通知方案。 1.独立设计方案。 活动建议:用喜欢的方式清楚地表示出你设计的最快通知方案,并算一算最快一共需 要几分钟。国家中小学课程资源 学生独立思考,设计通知方案。 2.交流方案。 学生作品1:把7人分成4组,一共用5分钟。 学生作品2:分3组通知,共用5分钟,把通知的时间标在图上。 引导学生观察、比较作品1和作品2,发现并不是分组越多用的时间越少,教师进一步 提出质疑:什么是影响所用时间的关键呢? 学生作品3:共用4分钟。 组织学生对比作品2和作品3的方案,讨论:为什么作品3比作品2少用了一分钟呢? 学生作品4:一共用3分钟。 教师提问:为什么作品4的方案比作品3又少了一分钟呢?还能不能比3分钟更少呢? 怎样通知,才能保证用时最少呢? 通过对上面问题的交流和讨论,学生明确,因为每一分钟都没有空闲的人,所以不能 比3分钟更少了。让每一分钟都没有空闲的人,可以保证用时最少。 3.调整方案。 按照这个思路,画出最快通知方案的示意图。用正方形代表队长,用圆表示要通知的 队员,把通知的时间标在圆里,表示第几分钟。 分享方案。 4.拓展延伸,巩固方法。国家中小学课程资源 如果再增加一分钟,4分钟最多可以通知多少人?思考一下,把你的想法在示意图上画 一画。 学生作品: 5.反思小结。 通过刚才设计方案的活动,你有什么收获和体会? 预设1:关键是要让每一分钟都没有人空闲,接到通知后继续通知下一个人。 预设2:用图示的方法来表示通知的方案。 预设3:最快的通知方案中有规律。 (三)探究规律 把用时最少的通知方案中的数据整理一下填在表格中。边填表边思考,看看能发现哪 些规律? 订正表格,交流发现。 预设1:新接到通知的队员数正好是前一分钟所有接到通知的队员和队长的总数。 预设2:每增加一分钟,所有接到通知的队员和队长的总数是前一分钟的2倍。 预设3:第n分钟所有接到通知队员的总数比所有接到通知的队员和队长的总数少1, 少的一人就是队长。 预设4:第几分钟,知道通知的总人数就是几个2相乘。 三、巩固应用 (一)运用规律解决问题 一个应急小队有50人,按照上面的方式,最少花多少时间能通知到每个队员? 学生独立思考,运用规律解决问题。 汇报交流。 (二)讨论让方案可行的准备工作 如果让你制定的方案在现实中可行,要做哪些准备工作? 预设:要找到最快通知的最优方案,画好示意图,明确自己接到通知后继续通知 谁…… 四、全课总结 (一)学生谈收获国家中小学课程资源 (二)教师总结,沟通旧知,渗透优化思想 五、课后练习 根据本班同学的人数设计一个最快通知的最优方案。