
文献启迪,AI赋能!「皮外医生手记」文献推荐火热进行中,我们将精选皮外前沿文献,与大家分享交流。如需获取更多学习资源,欢迎联系小助手加入皮外社群。本期解读文章《皮肤鳞状细胞癌的卫星灶与移行转移:危险因素及预后意义》,并经四川省人民医院陈明懿教授、云娇教授审核指导,与各位同仁共同探讨。

学术小助手二维码
皮肤鳞状细胞癌(cSCC)是第二常见的皮肤恶性肿瘤。尽管大多数患者经过手术治疗可获得良好预后,但仍有部分患者会出现局部复发、淋巴结转移、远处转移甚至死亡。卫星灶与移行转移(S-ITM)是cSCC的一种特殊转移模式,其特征是肿瘤细胞在真皮或皮下组织中形成与原发病灶分离的转移灶,且位于区域淋巴结引流路径之前。尽管既往研究提示S-ITM与不良预后相关,但目前的AJCC第8版(美国癌症联合委员会第 8 版癌症分期系统)和BWH分期系统均未纳入S-ITM。

图1. S-ITM定义
纽约大学格罗斯曼医学院联合12家机构发表在期刊《Journal of the American Academy of Dermatology》的相关研究论文旨在确定S-ITM的危险因素及预后意义。
本期文献推荐官
四川省人民医院陈明懿教授、云娇教授

期刊:《Journal of the American Academy of Dermatology》杂志 IF:12.8
题目:Satellitosis or in-transit metastasis in cutaneous squamous cell carcinoma: Risk factors and the prognostic significance
AI推荐语:该研究补充了cSCC分期系统中未纳入S-ITM的空白,为临床决策提供了高质量的循证医学证据。
点击文末进入AI文献小秘书Derm小程序检索标题可获取全文


研究设计:大规模多中心队列
研究纳入1998-2023年间12家医疗机构的8901例cSCC确诊患者,其中77例发生S-ITM。研究采用倾向性评分匹配、logistic回归分析、Fine-Gray竞争风险模型等方法,系统评估了S-ITM的危险因素和预后意义。
核心发现:S-ITM的独立危险因素
多因素logistic回归分析确定了以下独立危险因素:

表1 S-ITM的独立危险因素
免疫抑制是S-ITM发展的独立危险因素:研究队列中,41.6%的S-ITM患者存在免疫抑制状态,显著高于对照组(14.7%)。其机制可能为免疫监测功能受损导致肿瘤细胞逃逸并在局部播散。
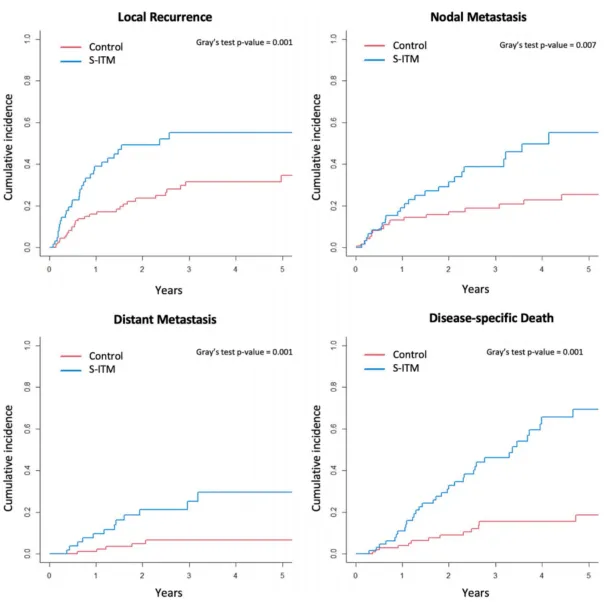
预后意义:S-ITM预示不良结局
采用Fine-Gray模型分析显示,S-ITM与多项不良预后独立相关:

表2 S-ITM与多项不良预后独立相关
关键时间节点:原发肿瘤治疗后至S-ITM诊断的中位时间为234天(约7.8个月),提示术后前2年是监测的关键窗口期。

临床实践启示
本研究对cSCC的诊疗决策具有重要指导价值:
风险分层:对于高龄、免疫抑制、高BWH分期或伴淋巴血管侵犯的患者,应高度警惕S-ITM风险,考虑更密切的随访监测方案。
分期考量:研究提供了强有力的证据支持,强调了S-ITM纳入未来cSCC分期系统的重要性。发生S-ITM的患者可考虑在诊断时上调分期等级。
治疗策略:S-ITM患者属于高危群体,cSCC合并S-ITM患者可考虑多手段联合治疗,必要时探索更积极的治疗方案。
多学科管理:cSCC合并S-ITM的管理需要皮肤科、肿瘤科、放疗科等多学科团队协作,制定个体化治疗方案。
研究局限与展望
研究存在一定局限性:回顾性设计可能存在选择偏倚;S-ITM发生率较低(0.87%),部分亚组分析统计效能受限;未评估S-ITM治疗对预后的影响。
未来研究需进一步明确S-ITM的最佳治疗模式,包括手术、放疗、系统治疗的组合策略,以及免疫检查点抑制剂在这一高危群体中的价值。总体而言,本研究补充了cSCC分期系统未纳入S-ITM的重要空白,为临床决策提供了高质量的循证医学证据。
由ACMED皮肤外科协作组发起的「皮外医生手记」栏目现已上线,欢迎皮外同道添加学术小助手,发送关键词“皮外”加入社群,与优秀同行一起成长!

学术小助手二维码
文献推荐官简介

四川省人民医院
陈明懿
• 四川省人民医院皮肤科副主任医师,硕士生导师
• 德国图宾根大学医学博士、路德维希港医院访问学者
• 主要专长:皮肤肿瘤、瘢痕、皮肤脉管异常性疾病的诊断与治疗
• 作为课题负责人主持4项厅局级课题,在SCI及国内核心期刊发表多篇论文
• 中华医学会皮肤性病学分会皮肤肿瘤学组委员
• 中国医师协会美容与整形分会皮肤软组织肿瘤学组委员
• 中国麻风防治协会皮肤外科与美容分会第二届委员会常务委员
• 中国中西医结合学会医学美容专委会委员
• 中国医药教育协会皮肤与健康专业委员会皮肤外科学组副组长
• 四川省医学会皮肤性病学专委会青年委员会副主委
• 四川省医疗卫生与健康促进委员会皮肤病与美容学专委会副主委
• 四川省国际医学交流促进会皮肤外科与美容专业委员会常务委员
• 四川省肿瘤学会皮肤与软组织肿瘤专委会常务委员
• 四川省人民医院“罕见皮肤恶性肿瘤多学科门诊”团队负责人
• 参编《皮肤外科学》第1,2版
• JDDG(德国皮肤病学杂志),《中华皮肤科杂志》,《临床皮肤科杂志》,《四川医学》审稿人
文献推荐官简介

四川省人民医院
云娇
• 皮肤外科医师
• 整形外科硕士,毕业于四川大学华西医院
• 擅长:皮肤肿瘤(恶性黑色素瘤、基底细胞癌、鳞状细胞癌、乳房外Paget病等)、皮肤肿物(色素痣、疣、皮脂腺囊肿、表皮囊肿等)、精细美容缝合、瘢痕疙瘩、美容注射、激光等。

精彩推荐

夜雨聆风
