当前位置:首页>文档>12.2.3趋势图(分层作业)原卷版_初中数学_七年级数学下册(人教版)_分层作业

12.2.3趋势图(分层作业)原卷版_初中数学_七年级数学下册(人教版)_分层作业

  • 2026-04-03 02:14:09 2026-03-18 13:57:05

文档预览

12.2.3趋势图(分层作业)原卷版_初中数学_七年级数学下册(人教版)_分层作业
12.2.3趋势图(分层作业)原卷版_初中数学_七年级数学下册(人教版)_分层作业
12.2.3趋势图(分层作业)原卷版_初中数学_七年级数学下册(人教版)_分层作业
12.2.3趋势图(分层作业)原卷版_初中数学_七年级数学下册(人教版)_分层作业
12.2.3趋势图(分层作业)原卷版_初中数学_七年级数学下册(人教版)_分层作业
12.2.3趋势图(分层作业)原卷版_初中数学_七年级数学下册(人教版)_分层作业

文档信息

文档格式
docx
文档大小
1.372 MB
文档页数
6 页
上传时间
2026-03-18 13:57:05

文档内容

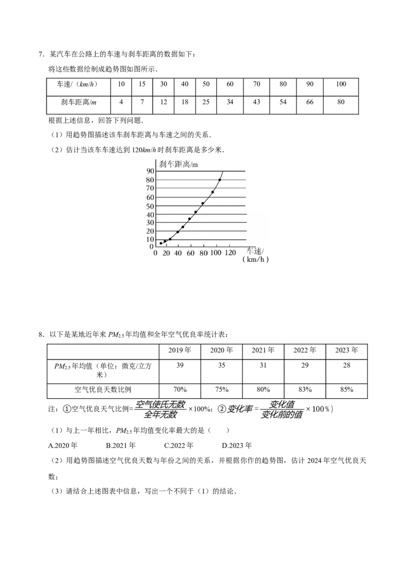
12.2.3 趋势图 分层作业 基础训练 1.为了调查不同品牌的衬衣销售情况,某校数学兴趣小组统计了 A,B两款衬衣一周的销量,如图是两 款衬衣一周的销量变化趋势图,则下列说法正确的是( ) A.甲款衬衣的销量比乙款衬衣销量稳定 B.乙款衬衣的销量平均数高于甲款衬衣 C.甲款衬衣与乙款衬衣销量的变化趋势相同 D.甲款衬衣的销量比乙款衬衣的销量好 2.《国家节水行动方案》中提出:到2022年,全国用水总量控制在6700亿立方米以内.小明根据国家 统计局公布的2010﹣2022年全国用水总量(单位:亿立方米)的有关数据绘制了如下统计图,并添加 了一条靠近尽可能多散点的直线来表示用水量的发展趋势. 根据统计图信息,下列推断不合理的是( ) A.《国家节水行动方案》确定的2022年节点目标已完成 B.2010﹣2013年全国用水总量呈上升趋势 C.根据2010﹣2022年全国用水总量的发展趋势,估计2023年全国用水总量约为5700亿立方米D.根据2020﹣2022年全国用水总量的发展趋势,估计2023年全国用水总量约为6100亿立方米 3.为了研究气温对冷饮销售的影响,一家饮品店经过一段时间的统计,得到一组卖出的冷饮杯数与当天 最高气温的数据,如表所示. 最高气温/℃ 11 12 16 18 19 21 23 24 27 冷饮杯数 49 68 73 89 107 96 118 124 153 用趋势图描述这家饮品店一天中卖出的冷饮杯数与当天的最高气温之间的关系,并根据所作的趋势 图,估计当一天的最高气温为29℃时,饮品店卖出的冷饮约为多少杯? 4.如表是随机抽取的9名15岁男生的身高、体重数据. 身高/cm 165 157 155 175 168 159 178 160 163 体重/kg 52 44 45 55 54 47 62 50 53 (1)在图中绘制趋势图,描述这9名男生的体重与身高的关系. (2)根据(1)中所作趋势图,预测身高是180cm的15岁男生的体重是多少. 5.某村经过脱贫攻坚和乡村振兴,经济收入持续增长.据统计,该村农户老王近五年的年度纯收入如表.老王近五年的年度纯收入统计表 年度/年 2020 2021 2022 2023 2024 年度纯收入/万元 2.5 4.5 7.5 11.5 16.5 记2020年度为第1年,在平面直角坐标系中分别用点A(1,2.5),B(2, 4.5),C(3,7.5),D(4,11.5),E(5,16.5)表示农户老王近五年的年 度纯收入的变化情况,如图所示. (1)补全上面描述农户老王近五年的年度纯收入与年份的关系的趋势图; (2)农户老王准备在2025年底购买一台价值17万元的农机设备,根据趋势 图预测农户老王2025年度的纯收入能否满足购买农机设备的资金需求. 能力提升 6.当一个国家或地区65岁及以上老年人口占总人口比重达到7%,意味着这个国家或地区进入老龄化社 会。下图为日本、韩国、中国人口老龄化趋势图,完成下题。 1950~2020年关于三国老龄化的说法正确的是( ) A.日本老龄化程度最高 B.三国均未出现老龄化 C.韩国率先步入老龄化 D.中国于1960年进入老龄化7.某汽车在公路上的车速与刹车距离的数据如下: 将这些数据绘制成趋势图如图所示. 车速/(km/h) 10 15 30 40 50 60 70 80 90 100 刹车距离/m 4 7 12 18 25 34 43 54 66 80 根据上述信息,回答下列问题. (1)用趋势图描述该车刹车距离与车速之间的关系. (2)估计当该车车速达到120km/h时刹车距离是多少米. 8.以下是某地近年来PM 年均值和全年空气优良率统计表: 2.5 2019年 2020年 2021年 2022年 2023年 PM 年均值(单位:微克/立方 39 35 31 29 28 2.5 米) 空气优良天数比例 70% 75% 80% 83% 85% 空气使氏无数 变化值 注:①空气优良天气比例= ×100%;②变化率= ×100%) 全年无数 变化前的值 (1)与上一年相比,PM 年均值变化率最大的是( ) 2.5 A.2020年 B.2021年 C.2022年 D.2023年 (2)用趋势图描述空气优良天数与年份之间的关系,并根据你作的趋势图,估计 2024年空气优良天 数; (3)请结合上述图表中信息,写出一个不同于(1)的结论.拔高拓展 9.国家卫生健康委员会公布,截止2020年4月2日全国疫情现存趋势图如图1:(1)结合图象,小彤对全国疫情做出以下四个判断: ①现存疑似病例与现存确诊病例数量差距最大日期大约出现在2月上旬; ②疫情在3月30日已经得到完全的控制; ③现存疑似人数大约在2月8日前后达到峰值; ④全国现存确诊病例人数3月底增加趋缓. 你认为判断正确的有 . (2)针对这次疫情,某校初三一班的同学以小组为单位组织了“抗战疫情,我为湖北鼓劲”绘画活 动.通过网络发往湖北,如图2是同学们的上交绘画作品情况,结合统计图,回答:n= ,m = . (3)全国各地都向湖北伸出援助之手,其中北京市派遣医务人员前往较为严重的武汉和黄冈.请依据 表格回答下列问题: 北京派遣至武汉、黄冈各医院医护人员对比表 武汉 5 7 9 12 11 8 19 20 7 7 3 1 20 13 黄冈 3 8 5 10 14 20 4 2 9 18 11 15 注:表格内的数字代表派遣至每个医院的医护人员人数 ①派往黄冈各医院医护人员的平均数约是 人(四舍五入取整数); ②请你根据表格信息,判断两个地区哪里的疫情较为严重,说明理由.