当前位置:首页>文档>考向14三角函数的单调性和最值(重点)-备战2023年高考数学一轮复习考点微专题(全国通用)(解析版)_2.2025数学总复习_赠品通用版(老高考)复习资料_一轮复习

考向14三角函数的单调性和最值(重点)-备战2023年高考数学一轮复习考点微专题(全国通用)(解析版)_2.2025数学总复习_赠品通用版(老高考)复习资料_一轮复习

  • 2026-04-09 21:22:13 2026-03-27 03:57:28

文档预览

考向14三角函数的单调性和最值(重点)-备战2023年高考数学一轮复习考点微专题(全国通用)(解析版)_2.2025数学总复习_赠品通用版(老高考)复习资料_一轮复习
考向14三角函数的单调性和最值(重点)-备战2023年高考数学一轮复习考点微专题(全国通用)(解析版)_2.2025数学总复习_赠品通用版(老高考)复习资料_一轮复习
考向14三角函数的单调性和最值(重点)-备战2023年高考数学一轮复习考点微专题(全国通用)(解析版)_2.2025数学总复习_赠品通用版(老高考)复习资料_一轮复习
考向14三角函数的单调性和最值(重点)-备战2023年高考数学一轮复习考点微专题(全国通用)(解析版)_2.2025数学总复习_赠品通用版(老高考)复习资料_一轮复习
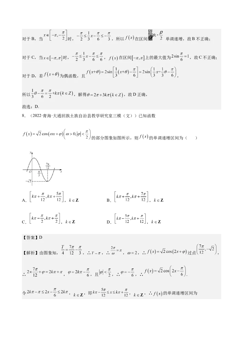
考向14三角函数的单调性和最值(重点)-备战2023年高考数学一轮复习考点微专题(全国通用)(解析版)_2.2025数学总复习_赠品通用版(老高考)复习资料_一轮复习
考向14三角函数的单调性和最值(重点)-备战2023年高考数学一轮复习考点微专题(全国通用)(解析版)_2.2025数学总复习_赠品通用版(老高考)复习资料_一轮复习
考向14三角函数的单调性和最值(重点)-备战2023年高考数学一轮复习考点微专题(全国通用)(解析版)_2.2025数学总复习_赠品通用版(老高考)复习资料_一轮复习
考向14三角函数的单调性和最值(重点)-备战2023年高考数学一轮复习考点微专题(全国通用)(解析版)_2.2025数学总复习_赠品通用版(老高考)复习资料_一轮复习
考向14三角函数的单调性和最值(重点)-备战2023年高考数学一轮复习考点微专题(全国通用)(解析版)_2.2025数学总复习_赠品通用版(老高考)复习资料_一轮复习
考向14三角函数的单调性和最值(重点)-备战2023年高考数学一轮复习考点微专题(全国通用)(解析版)_2.2025数学总复习_赠品通用版(老高考)复习资料_一轮复习
考向14三角函数的单调性和最值(重点)-备战2023年高考数学一轮复习考点微专题(全国通用)(解析版)_2.2025数学总复习_赠品通用版(老高考)复习资料_一轮复习
考向14三角函数的单调性和最值(重点)-备战2023年高考数学一轮复习考点微专题(全国通用)(解析版)_2.2025数学总复习_赠品通用版(老高考)复习资料_一轮复习
考向14三角函数的单调性和最值(重点)-备战2023年高考数学一轮复习考点微专题(全国通用)(解析版)_2.2025数学总复习_赠品通用版(老高考)复习资料_一轮复习
考向14三角函数的单调性和最值(重点)-备战2023年高考数学一轮复习考点微专题(全国通用)(解析版)_2.2025数学总复习_赠品通用版(老高考)复习资料_一轮复习
考向14三角函数的单调性和最值(重点)-备战2023年高考数学一轮复习考点微专题(全国通用)(解析版)_2.2025数学总复习_赠品通用版(老高考)复习资料_一轮复习
考向14三角函数的单调性和最值(重点)-备战2023年高考数学一轮复习考点微专题(全国通用)(解析版)_2.2025数学总复习_赠品通用版(老高考)复习资料_一轮复习
考向14三角函数的单调性和最值(重点)-备战2023年高考数学一轮复习考点微专题(全国通用)(解析版)_2.2025数学总复习_赠品通用版(老高考)复习资料_一轮复习
考向14三角函数的单调性和最值(重点)-备战2023年高考数学一轮复习考点微专题(全国通用)(解析版)_2.2025数学总复习_赠品通用版(老高考)复习资料_一轮复习
考向14三角函数的单调性和最值(重点)-备战2023年高考数学一轮复习考点微专题(全国通用)(解析版)_2.2025数学总复习_赠品通用版(老高考)复习资料_一轮复习
考向14三角函数的单调性和最值(重点)-备战2023年高考数学一轮复习考点微专题(全国通用)(解析版)_2.2025数学总复习_赠品通用版(老高考)复习资料_一轮复习
考向14三角函数的单调性和最值(重点)-备战2023年高考数学一轮复习考点微专题(全国通用)(解析版)_2.2025数学总复习_赠品通用版(老高考)复习资料_一轮复习
考向14三角函数的单调性和最值(重点)-备战2023年高考数学一轮复习考点微专题(全国通用)(解析版)_2.2025数学总复习_赠品通用版(老高考)复习资料_一轮复习
考向14三角函数的单调性和最值(重点)-备战2023年高考数学一轮复习考点微专题(全国通用)(解析版)_2.2025数学总复习_赠品通用版(老高考)复习资料_一轮复习
考向14三角函数的单调性和最值(重点)-备战2023年高考数学一轮复习考点微专题(全国通用)(解析版)_2.2025数学总复习_赠品通用版(老高考)复习资料_一轮复习
考向14三角函数的单调性和最值(重点)-备战2023年高考数学一轮复习考点微专题(全国通用)(解析版)_2.2025数学总复习_赠品通用版(老高考)复习资料_一轮复习
考向14三角函数的单调性和最值(重点)-备战2023年高考数学一轮复习考点微专题(全国通用)(解析版)_2.2025数学总复习_赠品通用版(老高考)复习资料_一轮复习
考向14三角函数的单调性和最值(重点)-备战2023年高考数学一轮复习考点微专题(全国通用)(解析版)_2.2025数学总复习_赠品通用版(老高考)复习资料_一轮复习

文档信息

文档格式
docx
文档大小
1.067 MB
文档页数
23 页
上传时间
2026-03-27 03:57:28

文档内容

考向 14 三角函数的单调性和 最值 1.【2022年北京卷第5题】已知函数 ,则 A. 在 上单调递减 B. 在 上单调递增 C. 在 上单调递减 D. 在 上单调递增 【答案】C 【解析】因为 . 对于A选项,当 时, ,则 在 上单调递增,A错; 对于B选项,当 时, ,则 在 上不单调,B错; 对于C选项,当 时, ,则 在 上单调递减,C对; 对于D选项,当 时, ,则 在 上不单调,D错. 故选:C. 2.【2022年乙卷文科第11题】函数 在区间 的最小值、最大值分别为 A. B. C. D. 【答案】D【解析】 ,当 时, ;当 时, ;当 时, .所以, ; .又 ,所以 ; .故选 . 2π ( ,0) f(x)=sin(2x+ϕ)(0<ϕ<π) 3 3.【2022年新高考2卷第9题】函数 的图象以 中心对称,则 5π (0, ) y=f (x) 12 A. 在 单调递减; π 11π (− , ) y=f (x) 12 12 B. 在 有2个极值点; 7π x= 6 C.直线 是一条对称轴; √3 y= −x 2 D.直线 是一条切线. 【答案】AD 2π 4π 4π 4π f( )=sin( +ϕ)=0 +ϕ=kπ ϕ=− +kπ 【解析】由题意得: 3 3 所以 3 即: 3 , k∈Z , 2π 2π ϕ= f(x)=sin(2x+ ) 又 0<ϕ<π ,所以 k=1 时, 3 故 3 . , 5π 2π 2π 3π x∈(0, ) 2x+ ∈( , ) 12 3 3 2 y=sinu y=f (x) 选项A: 时 ,由 图象知 是单调递减的; π 11π 2π π 5π x∈(− , ) 2x+ ∈( , ) 12 12 3 2 2 y=sinu y=f (x) 选项 B: 时 ,由 图象知 只有 1 个极值点,由2π 3π 2x+ = 3 2 可解得极值点; 7π 2π 7π x= 2x+ =3π x= 6 3 y=f (x)=0 6 选项C: 时 , ,直线 不是对称轴; 2π 2π 1 y' =2cos(2x+ )=0 cos(2x+ )=− 3 3 2 选项D:由 得: , 2π 2π 2π 4π 2x+ = +2kπ 2x+ = +2kπ 解得 3 3 或 3 3 , k∈Z π x= +kπ 从而得: x=kπ 或 3 , k∈Z √3 2π (0, ) k=y' | =2cos =−1 y=f (x) 2 x=0 3 所以函数 在点 处的切线斜率为 , √3 √3 y− =−(x−0) y= −x 2 2 切线方程为: 即 . 1.对于y=tan x不能认为其在定义域上为增函数,而是在每个开区间(k∈Z)内为增函数. 2.求函数y=Asin(ωx+φ)的单调区间时要注意A和ω的符号,尽量化成ω>0的形式,避免 出现增减区间的混淆. 1.对称与周期的关系 正弦曲线、余弦曲线相邻的两个对称中心、相邻的两条对称轴之间的距离是半个周期, 相邻的对称中心与对称轴之间的距离是四分之一个周期;正切曲线相邻两个对称中心之间的距离是半个周期. 2.与三角函数的奇偶性相关的结论 (1)若y=Asin(ωx+φ)为偶函数,则有φ=kπ+(k∈Z);若为奇函数,则有φ=kπ(k∈Z). (2)若y=Acos(ωx+φ)为偶函数,则有φ=kπ(k∈Z);若为奇函数,则有φ=kπ+(k∈Z). (3)若y=Atan(ωx+φ)为奇函数,则有φ=kπ(k∈Z). 1.对于y=tan x不能认为其在定义域上为增函数,而是在每个开区间(k∈Z)内为增函数. 2.求函数y=Asin(ωx+φ)的单调区间时要注意 A和ω的符号,尽量化成 ω>0的形式, 避免出现增减区间的混淆. 1.下列关于函数y=4sin x,x∈[-π,π]的单调性的叙述,正确的是( ) A.在[-π,0]上是增函数,在[0,π]上是减函数 B.在上是增函数,在及上是减函数 C.在[0,π]上是增函数,在[-π,0]上是减函数 D.在及上是增函数,在上是减函数 【答案】B 【解析】函数y=4sin x在和上单调递减,在上单调递增.故选B. 2.设函数f(x)=sin,x∈,则以下结论正确的是( ) A.函数f(x)在上单调递减 B.函数f(x)在上单调递增 C.函数f(x)在上单调递减 D.函数f(x)在上单调递增 【答案】C 【解析】选C.由x∈得2x-∈,所以f(x)先减后增;由x∈得2x-∈,所以f(x)先增后减;由x∈得2x-∈, 所以f(x)单调递减;由x∈得2x-∈,所以f(x)先减后增. 3.函数y=|cos x|的一个单调递增区间是( ) A.[-,] B.[0,π] C.[π,] D.[,2π] 【答案】D【解析】选D.将y=cos x的图象位于x轴下方的图象关于x轴对称翻折到x轴上方,x轴上方(或x轴上)的 图象不变,即得y=|cos x|的图象(如图).故选D. 4.已知函数f(x)=sin2x+sin2,则f(x)的最小值为( ) A. B. C. D. 【答案】A 【解析】选A.f(x)=sin2x+sin2=sin2x+=sin2x+cos2x+sin xcos x=++sin 2x=1+=1+sin≥1-=,故选 A. 5.已知函数f(x)=sin(2x+φ),其中φ∈(0,2π),若f(x)≤f对于一切x∈R恒成立,则f(x)的单调递增区间是( ) A.(k∈Z) B.(k∈Z) C.(k∈Z) D.(k∈Z) 【答案】B 【解析】选B.因为f(x)≤f对x∈R恒成立,则f为函数f(x)的最大值,即2×+φ=2kπ+(k∈Z),则φ=2kπ+ (k∈Z),又φ∈(0,2π),所以φ=,所以f(x)=sin.令2x+∈(k∈Z),则x∈(k∈Z).故选B. 6.已知函数 在 处取到最大值,则 ( ) A.奇函数 B.偶函数 C.关于点 中心对称 D.关于 轴对称 【答案】B  x 【解析】因为 f(x)asinxbcosx在 4 处取到最大值, b  tan sin( )1 即 f(x) a2 b2 sin(x),其中 a ,则 4 ,   2k f(x) a2 b2 sin(x ) 所以 4 ,kZ ,所以 4 ,   则 f(x ) a2 b2 sin(x ) a2 b2 cosx为偶函数. 4 2 故选:B.7.已知函数 ( , )的最小正周期是 ,将 的图象向左平 移 个单位长度后所得的函数 图象过点 ,则关于函数 的说法不正确的是( ) A. 是函数 一条对称轴 B. 是函数 一个对称中心 C. 在区间 上单调递增 D. 在区间 上单调递减 【答案】D   2 gx2sin 2x 【解析】2, f x 向左平移 3 个单位长度后所得到的函数是   3  ,  2    其中图象过P0,2 ,所以 sin    3   1 ,因为  2  2 ,  6 ,   gx2sin 2x 2cos2x   所以  2 .    因为 g    2   2cos2 ,所以 x 2 是函数gx 一条对称轴,故A正确 5 5 5  因为 g   4   2cos 2 0 ,所以   4 ,0  是函数gx 一个对称中心,故B正确  3   3  当 x    2 ,   时,2x3,2,所以gx在区间    2 ,   上单调递增,故C正确       3  当 x    4 , 4   时, 2x    2 , 2   ,所以gx在区间    2 ,   上不单调递减,故D错误 故选:D 8.已知函数f(x)=4sin,x∈[-π,0],则f(x)的单调递增区间是________. 【答案】和 【解析】由-+2kπ≤2x-≤+2kπ(k∈Z),得-+kπ≤x≤+kπ(k∈Z), 又因为x∈[-π,0],所以f(x)的单调递增区间为和. 9.若函数f(x)=sin (x+φ)+cos x的最大值为2,则常数φ的一个取值为 . 【答案】 【解析】易知当y=sin (x+φ),y=cos x同时取得最大值1时,函数f(x)=sin (x+φ)+cos x取得最大值2, 故sin (x+φ)=cos x,则φ=+2kπ,k∈Z,故常数φ的一个取值为. 10.函数y=cos 2x+2cos x的值域是_____. 【答案】 【解析】B[y=cos 2x+2cos x=2cos2x+2cosx-1=2-, 因为cos x∈[-1,1],所以原式的值域为. 一、单选题 1.(2022·陕西·千阳县中学一模(理))函数 的图象为 ,如下结论中正确的是( ) ①图象 关于直线 对称; ②图象 关于点 对称; ③函数 在区间 内是增函数; ④由 的图角向右平移 个单位长度可以得到图象 . A.①③④ B.①②④ C.②③④ D.①②③ 【答案】D 【解析】由于 时, ,故①结论正确;由于 时, ,故②结论正确; 由 ,解得 ,令 得 ,故③结论正确; 由于 的图像向右平移 个单位长度得到 ,故④结论错误. 综上所述,正确结论为①②③. 故选:D. 2.(2022·天津·南开中学模拟预测)已知函数 ,则下列结论错误的是( ) A.函数 的最小正周期是 B.函数 在区间 上单调递减 C.函数 的图象可由函数 的图象向左平移 个单位长度,再向下平移1个单位长度得到 D.函数 的图象关于 对称 【答案】C 【解析】 , 所以函数 的最小正周期是 ,A正确; 当 时, ,所以 单调递减,故B正确; 函数 的图象向左平移 个单位长度,再向下平移1个单位长度得到 , 故C错误; 当 时, ,所以 ,所以 的图象关于 中心对称,D正确. 故选:C 3.(2022·上海松江·二模)设函数 图像的一条对称轴方程为 ,若 、 是 函数 的两个不同的零点,则 的最小值为( ) A. B. C. D. 【答案】B 【解析】由题知 ,则 , 因为 ,所以 所以 易知 的最小值为 . 故选:B 4.(2022·四川广安·模拟预测(文))已知函数 的部分图象如图所示, 则下列结论正确的是( ) A. 的图象关于点 对称 B. 的图象向右平移 个单位后得到 的图象C. 在区间 的最小值为 D. 为偶函数 【答案】D 【解析】因为 的图象过点 , 所以 , 因为 ,所以 , 因为 的图象过点 , 所以由五点作图法可知 ,得 , 所以 , 对于A,因为 ,所以 为 的图象的一条对称轴,所以A 错误, 对于B, 的图象向右平移 个单位后,得 ,所以B错误, 对于C,当 时, ,所以 ,所以 在区间 的最小 值为 ,所以C错误, 对于D, ,令 ,因为 ,所以 为偶函数, 所以D正确, 故选:D 5.(2022·上海静安·模拟预测)已知函数 ,下列结论正确的是( ) A. 为偶函数 B. 为非奇非偶函数 C. 在 上单调递减 D. 的图象关于直线 对称 【答案】A 【解析】由题得函数的定义域为 ,关于原点对称. ,所以 为偶函数,所以选项A正确,选项B错误; 当 时, ,令 所以 令 得 令 得 所以此时函数的单调递减区间为 ,所以选项C错误; , ,即 的图象不关于直线 对称,所以选项D错误. 故选:A 6.(2022·青海·海东市第一中学模拟预测(理))已知函数 ,若函 数f(x)在 上单调递减,则实数ω的取值范围是( ) A. B. C. D.【答案】B 【解析】函数 , 由函数f(x)在 上单调递减,且 , 得 , ,解 , . 又因为ω>0, ,所以k=0, 所以实数ω的取值范围是 . 故选:B 7.(2022·甘肃·武威第六中学模拟预测(理))已知函数 ,直线 为 图象的一条对称轴,则下列说法正确的是( ) A. B. 在区间 单调递减 C. 在区间 上的最大值为2 D. 为偶函数,则 【答案】D 【解析】因为函数 ,直线 为 图象的一条对称轴, 所以 ,所以 , 又 ,所以 ,故A不正确;所以 ,对于B,当 时, ,所以 在区间 单调递增,故B不正确; 对于C,当 时, , 在区间 上的最大值为 ,故C不正确; 对于D,若 为偶函数,且 , 所以 ,解得 ,故D正确, 故选:D. 8.(2022·青海·大通回族土族自治县教学研究室三模(文))已知函数 的部分图象如图所示,则 的单调递增区间为( ) A. , B. , C. , D. , 【答案】D 【解析】由图象知, ,∴ ,∴ , ,∴ 过点 , ∴ , ,且 ,∴ ,∴ . 令 , ,即 , ,∴ 的单调递增区间为, . 故选:D. 二、填空题 9.(2022·辽宁·渤海大学附属高级中学模拟预测)函数 的最大值为 ______. 【答案】13 【解析】 , 令 , 所以可得 所以由正弦函数的性质可知 的最大值为 . 故答案为: 10.(2022·四川成都·模拟预测(理))已知函数 ,若 ,且 在 上有最大值,没有最小值,则 的最大值为______. 【答案】17 【解析】由 ,且 在 上有最大值,没有最小值,可得 , 所以. 由 在 上有最大值,没有最小值,可得 ,解得 ,又 ,当 时, ,则 的最大值为17,, 故答案为:17 11.(2022·上海金山·二模)已知向量 ,则函数 的单调递增区间为__________. 【答案】 【解析】由题意, ,故 的单调递增区 间: ,即 ,故 在 的单调递增 区间为 故答案为: 12.(2022·四川广安·模拟预测(理))已知函数 ( )在区间 上单调递增, 且函数 在 上有且仅有一个零点,则实数 的取值范围是_______. 【答案】 【解析】由题及 得 ( )在 单调递增, 又函数 ( )在区间 上单调递增,所以, ,得 . 在 上有且仅有一个零点,可得 , 所以, ,所以, .故答案为: . 1.(2019年高考数学课标Ⅲ卷理科)设函数 ( >0),已知 在 有且仅有5 个零点,下述四个结论: ① 在 有且仅有3个极大值点② 在 有且仅有2个极小值点 ③ 在 单调递增④ 的取值范围是 其中所有正确结论的编号是 ( ) A.①④B.②③ C.①②③ D.①③④ 【答案】D 【解析】 在 有且仅有3个极大值点,分别对应 ,故①正确. 在 有2个或3个极小值点,分别对应 和 , 故②不正确. 因为当 时, ,由 在 有且仅有 5 个零点.则,解得 ,故④正确. 由 ,得 , ,所以 在 单调递增, 故③正确. 综上所述,本题选D. 2.(2019年高考数学课标全国Ⅱ卷理科)下列函数中,以 为周期且在区间 单调递增的是( ) A. B. C. D. 【答案】A y sin|x| y cos x cosx 【解析】因为 图象如下图,知其不是周期函数,排除D;因为 ,周期为  2,排除C,作出 y  cos2x 图象,由图象知,其周期为 2 ,在区间 单调递增,A正确;  作出y  sin2x 的图象,由图象知,其周期为 ,在区间 单调递减,排除B,故选A. 2 【点评】本题主要考查三角函数图象与性质,渗透直观想象、逻辑推理等数学素养.画出各函数图象,y  f(x) y  f(x) 即可做出选择.利用二级结论:①函数 的周期是函数 周期的一半;② y sinx 不是周期函数;③函数 ,再利用降幂公式及三角函数公式法求三角 函数的周期,例如, ,所以周期 . 3.(2019年高考数学课标全国Ⅰ卷理科)关于函数 有下述四个结论:   ,   f(x) f(x)  2  ① 是偶函数② 在区间 单调递增 f(x) [,] f(x) ③ 在 有4个零点④ 的最大值为2 其中所有正确结论的编号是 ( ) A.①②④ B.②④ C.①④ D.①③ 【答案】C y sin x , y  sinx , y sin x  sinx 解析:作出函数 的图象如图所示,   ,   f(x) f(x)  2  由图可知, 是偶函数,①正确, 在区间 单调递减,②错误, f(x) [,] f(x) 在 有3个零点,③错误; 的最大值为2,④正确,故选C. ysinx O ysinx 3π 5π 2π 3π π π O π π 3π 2π 5π 3π 2 2 2 2 2 2 ysinxsinx O   f xcos x    3 4.(2017年高考数学课标Ⅲ卷理科)设函数 ,则下列结论错误的是( )8 f x y  f x x A. 的一个周期为 2 B. 的图像关于直线 3 对称    C. f x 的一个零点为 x 6 D. f x 在   2 ,   单调递减 【答案】 D  f x f x x k,kZ 【解析】函数 的周期为 2n , nZ ,故A正确;又函数 的对称轴为 3 ,即  8   xk x f x0cos  x  0 3 , kZ , 当 k 3 时 , 得 3 , 故 B 正 确 ; 由  3      x  k f x x k,kZ x 3 2 ,所以函数 的零点为 6 ,当 k 0 时, 6 ,故C正确;由   2 2k x 2k 2k  x2k f x 3 , 解 得 3 3 , 所 以 函 数 的 单 调 递 减 区 间 为   2     2 2k ,2k ,kZ ,  2k ,2k        3 3   2   3 3  ,而 ,故D错误. y  Asin(x) y  Acos(x) 【点评】(1)求最小正周期时可先把所给三角函数式化为 或 的形式, 2π T   y  Asinx y  Acosxb 则最小正周期为 ;奇偶性的判断关键是解析式是否为 或 的形式. π (2)求 f x Asin(x)0 的对称轴,只需令 xkπ 2 kZ ,求 x ;求 f(x) xkπ(kZ) 的对称中心的横坐标,只需令 即可. 5.(2015高考数学新课标1理科)函数 = 的部分图像如图所示,则 的单调递减区间 为( )A. B. C. D. 【答案】D 【解析】由五点作图知, ,解得 , ,所以 ,令 ,解得 < < , ,故单调减区间为( , ), ,故选D. 6.(2012高考数学新课标理科)已知 ,函数 在 上单调递减。则 的取值 范围是( ) A. B. C. D. 【答案】A [ π 3π] 2kπ+ ,2kπ+ 2 2 【解析】解析:∵y=sinx在 上单调递减 π π 3π 2kπ+ ≤ωx+ ≤2kπ+ 2 4 2 ∴1 π 1 5π (2kπ+ )≤x≤ (2kπ+ ) ω 4 ω 4 ∴ 而函数 在 上单调递减 1 π 1 5π ⊆[ (2kπ+ ), (2kπ+ )] ω 4 ω 4 ∴  1   (2k )   4 2  1 5 1 5 1 5  (2k )  4k  2k [ , ]  4 2 4  2 4 即 得 且 ,根据答案特征只能是k=0, 3   f xsin2 x 3cosx x  0,  7.(2017年高考数学课标Ⅱ卷理科)函数 4 (  2 )的最大值是 . 【答案】1 【解析】解法一:换元法 3   f xsin2 x 3cosx x  0,  ∵ 4  2,sin2xcos2 x1 1 f xcos2 x 3cosx ∴ 4 1 设t cosx, t0,1 ,∴ f xt2  3t 4 3 t  0,1 f x 1 2 ,∴ max 函数对称轴为 【点评】本题经三角函数式的化简将三角函数的问题转化为二次函数的问题,二次函数、二次方程与二次 不等式统称“三个二次”,学科*网它们常结合在一起,有关二次函数的问题,数形结合,密切联系图象 是探求解题思路的有效方法。一般从:①开口方向;②对称轴位置;③判别式;④端点函数值符号四个方 面分析。 f(x)  sin(x  2)-2sincos(x+) 8.(2014高考数学课标2理科)函数 的最大值为_________. 【答案】1 f(x)  sin(x 2)-2sincos(x+)  【解析】  sin(x )cos+cos(x )sin-2sincos(x+)  sin(x )cos-cos(x+)sin  sinx  1所以最大值为1 x f(x)sinx2cosx cos 9.(2013 高考数学新课标 1 理科)设当 时,函数 取得最大值,则 =______. 2 5  【答案】 5 5 2 5 5( sinx cosx) f(x) sinx2cosx 5 5 【解析】∵ = = 5 2 5 sin 令 cos = 5 , 5 ,则 f(x) = 5(sinxcossincosx) = 5sin(x) ,   2k ,kz 2k ,kz x 2 x 2 f(x)  当 = , 即 = 时 , 取 最 大 值 , 此 时 =   2 5 2k ,kz cos(2k )  2 ,∴ cos = 2 = sin = 5 .