当前位置:首页>文档>考向27空间点、直线、平面之间的位置关系(重点)-备战2023年高考数学一轮复习考点微专题(全国通用)(学生版)_2.2025数学总复习_赠品通用版(老高考)复习资料_一轮复习

考向27空间点、直线、平面之间的位置关系(重点)-备战2023年高考数学一轮复习考点微专题(全国通用)(学生版)_2.2025数学总复习_赠品通用版(老高考)复习资料_一轮复习

  • 2026-04-14 04:04:49 2026-03-27 05:19:08

文档预览

考向27空间点、直线、平面之间的位置关系(重点)-备战2023年高考数学一轮复习考点微专题(全国通用)(学生版)_2.2025数学总复习_赠品通用版(老高考)复习资料_一轮复习
考向27空间点、直线、平面之间的位置关系(重点)-备战2023年高考数学一轮复习考点微专题(全国通用)(学生版)_2.2025数学总复习_赠品通用版(老高考)复习资料_一轮复习
考向27空间点、直线、平面之间的位置关系(重点)-备战2023年高考数学一轮复习考点微专题(全国通用)(学生版)_2.2025数学总复习_赠品通用版(老高考)复习资料_一轮复习
考向27空间点、直线、平面之间的位置关系(重点)-备战2023年高考数学一轮复习考点微专题(全国通用)(学生版)_2.2025数学总复习_赠品通用版(老高考)复习资料_一轮复习
考向27空间点、直线、平面之间的位置关系(重点)-备战2023年高考数学一轮复习考点微专题(全国通用)(学生版)_2.2025数学总复习_赠品通用版(老高考)复习资料_一轮复习
考向27空间点、直线、平面之间的位置关系(重点)-备战2023年高考数学一轮复习考点微专题(全国通用)(学生版)_2.2025数学总复习_赠品通用版(老高考)复习资料_一轮复习
考向27空间点、直线、平面之间的位置关系(重点)-备战2023年高考数学一轮复习考点微专题(全国通用)(学生版)_2.2025数学总复习_赠品通用版(老高考)复习资料_一轮复习
考向27空间点、直线、平面之间的位置关系(重点)-备战2023年高考数学一轮复习考点微专题(全国通用)(学生版)_2.2025数学总复习_赠品通用版(老高考)复习资料_一轮复习
考向27空间点、直线、平面之间的位置关系(重点)-备战2023年高考数学一轮复习考点微专题(全国通用)(学生版)_2.2025数学总复习_赠品通用版(老高考)复习资料_一轮复习
考向27空间点、直线、平面之间的位置关系(重点)-备战2023年高考数学一轮复习考点微专题(全国通用)(学生版)_2.2025数学总复习_赠品通用版(老高考)复习资料_一轮复习
考向27空间点、直线、平面之间的位置关系(重点)-备战2023年高考数学一轮复习考点微专题(全国通用)(学生版)_2.2025数学总复习_赠品通用版(老高考)复习资料_一轮复习
考向27空间点、直线、平面之间的位置关系(重点)-备战2023年高考数学一轮复习考点微专题(全国通用)(学生版)_2.2025数学总复习_赠品通用版(老高考)复习资料_一轮复习
考向27空间点、直线、平面之间的位置关系(重点)-备战2023年高考数学一轮复习考点微专题(全国通用)(学生版)_2.2025数学总复习_赠品通用版(老高考)复习资料_一轮复习
考向27空间点、直线、平面之间的位置关系(重点)-备战2023年高考数学一轮复习考点微专题(全国通用)(学生版)_2.2025数学总复习_赠品通用版(老高考)复习资料_一轮复习
考向27空间点、直线、平面之间的位置关系(重点)-备战2023年高考数学一轮复习考点微专题(全国通用)(学生版)_2.2025数学总复习_赠品通用版(老高考)复习资料_一轮复习
考向27空间点、直线、平面之间的位置关系(重点)-备战2023年高考数学一轮复习考点微专题(全国通用)(学生版)_2.2025数学总复习_赠品通用版(老高考)复习资料_一轮复习
考向27空间点、直线、平面之间的位置关系(重点)-备战2023年高考数学一轮复习考点微专题(全国通用)(学生版)_2.2025数学总复习_赠品通用版(老高考)复习资料_一轮复习
考向27空间点、直线、平面之间的位置关系(重点)-备战2023年高考数学一轮复习考点微专题(全国通用)(学生版)_2.2025数学总复习_赠品通用版(老高考)复习资料_一轮复习
考向27空间点、直线、平面之间的位置关系(重点)-备战2023年高考数学一轮复习考点微专题(全国通用)(学生版)_2.2025数学总复习_赠品通用版(老高考)复习资料_一轮复习
考向27空间点、直线、平面之间的位置关系(重点)-备战2023年高考数学一轮复习考点微专题(全国通用)(学生版)_2.2025数学总复习_赠品通用版(老高考)复习资料_一轮复习
考向27空间点、直线、平面之间的位置关系(重点)-备战2023年高考数学一轮复习考点微专题(全国通用)(学生版)_2.2025数学总复习_赠品通用版(老高考)复习资料_一轮复习
考向27空间点、直线、平面之间的位置关系(重点)-备战2023年高考数学一轮复习考点微专题(全国通用)(学生版)_2.2025数学总复习_赠品通用版(老高考)复习资料_一轮复习
考向27空间点、直线、平面之间的位置关系(重点)-备战2023年高考数学一轮复习考点微专题(全国通用)(学生版)_2.2025数学总复习_赠品通用版(老高考)复习资料_一轮复习
考向27空间点、直线、平面之间的位置关系(重点)-备战2023年高考数学一轮复习考点微专题(全国通用)(学生版)_2.2025数学总复习_赠品通用版(老高考)复习资料_一轮复习
考向27空间点、直线、平面之间的位置关系(重点)-备战2023年高考数学一轮复习考点微专题(全国通用)(学生版)_2.2025数学总复习_赠品通用版(老高考)复习资料_一轮复习
考向27空间点、直线、平面之间的位置关系(重点)-备战2023年高考数学一轮复习考点微专题(全国通用)(学生版)_2.2025数学总复习_赠品通用版(老高考)复习资料_一轮复习
考向27空间点、直线、平面之间的位置关系(重点)-备战2023年高考数学一轮复习考点微专题(全国通用)(学生版)_2.2025数学总复习_赠品通用版(老高考)复习资料_一轮复习
考向27空间点、直线、平面之间的位置关系(重点)-备战2023年高考数学一轮复习考点微专题(全国通用)(学生版)_2.2025数学总复习_赠品通用版(老高考)复习资料_一轮复习
考向27空间点、直线、平面之间的位置关系(重点)-备战2023年高考数学一轮复习考点微专题(全国通用)(学生版)_2.2025数学总复习_赠品通用版(老高考)复习资料_一轮复习
考向27空间点、直线、平面之间的位置关系(重点)-备战2023年高考数学一轮复习考点微专题(全国通用)(学生版)_2.2025数学总复习_赠品通用版(老高考)复习资料_一轮复习
考向27空间点、直线、平面之间的位置关系(重点)-备战2023年高考数学一轮复习考点微专题(全国通用)(学生版)_2.2025数学总复习_赠品通用版(老高考)复习资料_一轮复习
考向27空间点、直线、平面之间的位置关系(重点)-备战2023年高考数学一轮复习考点微专题(全国通用)(学生版)_2.2025数学总复习_赠品通用版(老高考)复习资料_一轮复习
考向27空间点、直线、平面之间的位置关系(重点)-备战2023年高考数学一轮复习考点微专题(全国通用)(学生版)_2.2025数学总复习_赠品通用版(老高考)复习资料_一轮复习
考向27空间点、直线、平面之间的位置关系(重点)-备战2023年高考数学一轮复习考点微专题(全国通用)(学生版)_2.2025数学总复习_赠品通用版(老高考)复习资料_一轮复习
考向27空间点、直线、平面之间的位置关系(重点)-备战2023年高考数学一轮复习考点微专题(全国通用)(学生版)_2.2025数学总复习_赠品通用版(老高考)复习资料_一轮复习
考向27空间点、直线、平面之间的位置关系(重点)-备战2023年高考数学一轮复习考点微专题(全国通用)(学生版)_2.2025数学总复习_赠品通用版(老高考)复习资料_一轮复习
考向27空间点、直线、平面之间的位置关系(重点)-备战2023年高考数学一轮复习考点微专题(全国通用)(学生版)_2.2025数学总复习_赠品通用版(老高考)复习资料_一轮复习
考向27空间点、直线、平面之间的位置关系(重点)-备战2023年高考数学一轮复习考点微专题(全国通用)(学生版)_2.2025数学总复习_赠品通用版(老高考)复习资料_一轮复习
考向27空间点、直线、平面之间的位置关系(重点)-备战2023年高考数学一轮复习考点微专题(全国通用)(学生版)_2.2025数学总复习_赠品通用版(老高考)复习资料_一轮复习
考向27空间点、直线、平面之间的位置关系(重点)-备战2023年高考数学一轮复习考点微专题(全国通用)(学生版)_2.2025数学总复习_赠品通用版(老高考)复习资料_一轮复习
考向27空间点、直线、平面之间的位置关系(重点)-备战2023年高考数学一轮复习考点微专题(全国通用)(学生版)_2.2025数学总复习_赠品通用版(老高考)复习资料_一轮复习
考向27空间点、直线、平面之间的位置关系(重点)-备战2023年高考数学一轮复习考点微专题(全国通用)(学生版)_2.2025数学总复习_赠品通用版(老高考)复习资料_一轮复习
考向27空间点、直线、平面之间的位置关系(重点)-备战2023年高考数学一轮复习考点微专题(全国通用)(学生版)_2.2025数学总复习_赠品通用版(老高考)复习资料_一轮复习
考向27空间点、直线、平面之间的位置关系(重点)-备战2023年高考数学一轮复习考点微专题(全国通用)(学生版)_2.2025数学总复习_赠品通用版(老高考)复习资料_一轮复习
考向27空间点、直线、平面之间的位置关系(重点)-备战2023年高考数学一轮复习考点微专题(全国通用)(学生版)_2.2025数学总复习_赠品通用版(老高考)复习资料_一轮复习
考向27空间点、直线、平面之间的位置关系(重点)-备战2023年高考数学一轮复习考点微专题(全国通用)(学生版)_2.2025数学总复习_赠品通用版(老高考)复习资料_一轮复习
考向27空间点、直线、平面之间的位置关系(重点)-备战2023年高考数学一轮复习考点微专题(全国通用)(学生版)_2.2025数学总复习_赠品通用版(老高考)复习资料_一轮复习
考向27空间点、直线、平面之间的位置关系(重点)-备战2023年高考数学一轮复习考点微专题(全国通用)(学生版)_2.2025数学总复习_赠品通用版(老高考)复习资料_一轮复习

文档信息

文档格式
docx
文档大小
5.725 MB
文档页数
44 页
上传时间
2026-03-27 05:19:08

文档内容

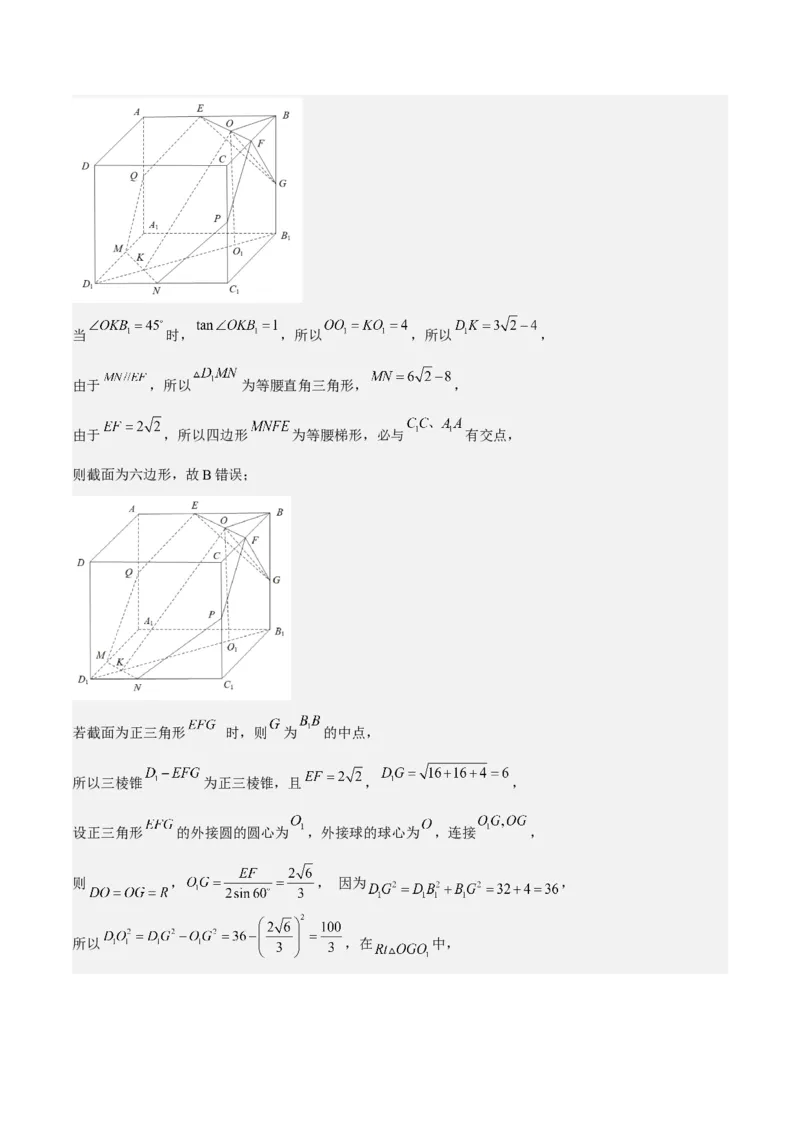
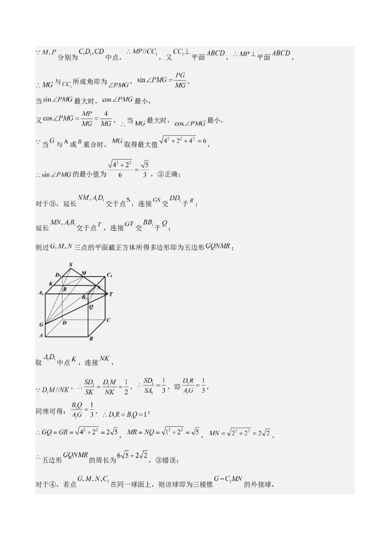
考向 27 空间点、直线、平面 之间的位置关系 1.(2022年甲卷理7文9)在长方体 中,已知 与平面 和平面 所成的角均 为 ,则 A. B. 与平面 所成的角为 C. D. 与平面 所成的角为 【答案】D 【解析】 与平面 即 , 与平面 即 , 则 ,设 ,则 ,由长方体对角线长公式 ,得 ,从而 , , 与平面 所成的角 的正弦值为 , , 与平面 所成的角 的正弦值为 . 2.(2022年乙卷理7文9)在正方体 中,E,F分别为AB,BC的中点,则 A.平面 平面 B.平面 平面C.平面 平面 D.平面 平面 【答案】A 【解析】 对于A选项:在正方体 中,因为EF分别为AB,BC的中点,易知 ,从而 平面 ,又因为 平面 ,所以平面 平面 ,所以A选项正确; 对于B选项:因为平面 平面 ,由上述过程易知平面 平面 不成立; 对于C选项:由题意知直线 与直线 必相交,故平面 平面 有公共点,从而C选项错误; 对于D选项:连接 , , ,易知平面 平面 , 与平面 有公共点 ,故平面 与平面 又因为平面 不平行,所以D选项错误. 3.(2022年新高考1卷第9题)已知正方体 ,则 A.直线 与 所成的角为 B.直线 与 所成的角为 C.直线 与平面 所成的角为 D.直线 与平面 所成的角为 【答案】ABD 【解析】在正方体 中,因为 , ,所以 平面 ,所以 , ,故选项A,B均正确; 设 ,因为 平面 ,所以直线 与平面 所成的角为 ,在直角 中, ,故 ,故选项C错误; 直线 与平面 所成的角为 ,故选项D正确.综上,答案选ABD.(1)证明点或线共面: ①首先由所给条件中的部分线(或点)确定一个平面,然后再证其余的线(或点)在这个平面内;②将所有 条件分为两部分,然后分别确定平面,再证两平面重合. (2)证明点共线: ①先由两点确定一条直线,再证其他各点都在这条直线上;②直接证明这些点都在同一条特定的直线 上. (3)证明线共点:先证其中两条直线交于一点,再证其他直线经过该点. (3)求异面直线所成角 ①平移法: 常见三种平移方法:直接平移:中位线平移(尤其是图中出现了中点):补形平移法:“补形法”是立体 几何中一种常见的方法,通过补形,可将问题转化为易于研究的几何体来处理,利用“补形法”找两异面 直线所成的角也是常用的方法之一。 ②利用模型求异面直线所成的角 已知平面α的一条斜线a与平面α所成的角为θ ,平面α内的一条直线b与斜线a所成的角为θ,与它的射 1 影a′所成的角为θ。求证:cosθ= cosθ ·cosθ 。 2 1 2 ③向量法求异面直线所成的角 1.公理2的三个推论 推论1:经过一条直线和这条直线外一点有且只有一个平面; 推论2:经过两条相交直线有且只有一个平面; 推论3:经过两条平行直线有且只有一个平面. 2.异面直线判定的一个定理 过平面外一点和平面内一点的直线,与平面内不过该点的直线是异面直线.1.异面直线易误解为“分别在两个不同平面内的两条直线为异面直线”,实质上两异面直线 不能确定任何一个平面,因此异面直线即不平行,也不相交. 2.在判断直线与平面的位置关系时最易忽视“线在平面内”. 一、单选题 1.正方体 中,点 在棱 上,过点 作平面 的平行平面 ,记平面 与平面 的交线为 ,则 与 所成角的大小为( ) A. B. C. D. 2.如图,直三棱柱 中, ,若 ,则异面直线 所成角的大小 是( ) A. B. C. D. 3.设a,b是两条不同的直线, 是两个不同的平面,给出下列命题: ①若 ,则 ②若 ,则③若 ,则 ④若 ,则 其中为真命题的是( ) A.①② B.②③ C.③④ D.①④ 4.如图,已知 分别是正方体所在棱的中点,则下列直线中与直线 相交的是( ). A.直线 B.直线 C.直线 D.直线 . 5.已知正方体中 ,E,G分别为 , 的中点,则直线 ,CE所成角的余弦值为 ( ) A. B. C. D. 6.已知 是两条不同的直线, 是平面,且 ,则( ) A.若 ,则 B.若 ,则 C.若 ,则 D.若 ,则 7.如图正方体 中, 分别为棱 的中点,连接 .空间 任意两点 ,若线段 上不存在点在线段 上,则称 两点可视,则下列选项中与点 可 视的为( )A.点P B.点B C.点R D.点Q 8.设l是直线,α,β是两个不同的平面,则下列说法正确的是( ) A.若l∥α,l∥β,则α∥β B.若l∥α,l⊥β,则α⊥β C.若α⊥β,l⊥α,则l∥β D.若α⊥β,l∥α,则l⊥β 二、多选题 9.已知空间中 是两条不同的直线, 是两个不同的平面,则下列命题不正确的是( ) A. B. C. 与 异面 D. 10.如图,若 为正六棱台, , , 则下列说法正确的是 ( )A. B. 平面 C. 平面 D.侧棱与底面所成的角为 三、填空题 11.已知直三棱柱 中, , , ,则异面直线 与 所成角 的余弦值为______. 12.已知三棱柱 的底面是边长为2的等边三角形, 为 的中点,若 ,则侧面 四边形 为正方形,则异面直线 与 所成角的余弦值为___________. 13.在矩形ABCD中, ,点E为CD的中点(如图1),沿AE将△ 折起到△ 处, 使得平面 平面ABCE(如图2),则直线PC与平面ABCE所成角的正切值为___________. 14.正方体 的棱长为 , , , 分别为 , , 的中点,给出下列四个命题: ①上底边 的中点在平面 内 ②直线 与平面 不平行 ③平面 截正方体所得的截面面积为 ④点 与点 到平面 的距离相等. 错误的命题是________. 一、单选题 1.(2022·浙江·模拟预测)现有边长为 的正四面体 ,其中点M为 的重心,点N,H分 别为 , 中点.下列说法正确的有( ) A. B. C. D. 2.(2022·上海静安·二模)在下列判断两个平面 与 平行的4个命题中,真命题的个数是( ).(1) 、 都垂直于平面r,那么 ∥ . (2) 、 都平行于平面r,那么 ∥ . (3) 、 都垂直于直线l,那么 ∥ . (4)如果l、m是两条异面直线,且 ∥ , ∥ , ∥ , ∥ ,那么 ∥ A.0 B.1 C.2 D.3 3.(2022·浙江嘉兴·二模)如图,已知正方体 的棱长为 ,则下列结论中正确的是( ) ①若 是直线 上的动点,则 平面 ②若 是直线 上的动点,则三棱锥 的体积为定值 ③平面 与平面 所成的锐二面角的大小为 ④若 是直线 上的动点,则 A.①②③ B.②③④ C.①②④ D.①③④ 4.(2022·山东潍坊·三模)我国古代数学名著《九章算术》中给出了很多立体几何的结论,其中提到的多 面体“鳖臑”是四个面都是直角三角形的三棱锥.若一个“鳖臑”的所有顶点都在球 的球面上,且该 “鳖臑”的高为 ,底面是腰长为 的等腰直角三角形.则球 的表面积为( ) A. B. C. D. 5.(2022·河南·模拟预测(文))手工课可以提高学生的动手能力、反应能力、创造力,使学生在德、智、 体、美、劳各方面得到全面发展.某小学生在一次手工课上制作了一座漂亮的房子模型,它可近似地看成是 一个直三棱柱和一个长方体的组合图形.其直观图如图所示, , ,P,Q,M,N分别是棱AB, , , 的中点,则异面直线PQ与MN所成角的余弦值是( ) A. B. C. D. 6.(2022·北京·人大附中模拟预测)已知正方体 为对角线 上一点(不与点 重 合),过点 作垂直于直线 的平面 ,平面 与正方体表面相交形成的多边形记为 ,下列结论不正 确的是( ) A. 只可能为三角形或六边形 B.平面 与平面 的夹角为定值 C.当且仅当 为对角线 中点时, 的周长最大 D.当且仅当 为对角线 中点时, 的面积最大 7.(2022·河南安阳·模拟预测(理))在四面体ABCD中, , 平面BCD, .过 点B作垂直于平面ACD的平面 截该四面体,若截面面积存在最大值,则 的最大值为( ) A. B. C. D. 8.(2022·浙江绍兴·模拟预测)如图,斜三棱柱 中,底面 是正三角形, 分别是侧棱 上的点,且 ,设直线 与平面 所成的角分别为 ,平面 与底面 所成的锐二面角为 ,则( ) A. B. C. D. 二、多选题 9.(2022·广东·大埔县虎山中学模拟预测)如图所示,在棱长为2的正六面体 中,O为线 段 的中点(图中未标出),以下说法正确的有( ). A.线段CD中点为E,则直线OE与平面 所成角的正弦值为 . B.在线段 上取靠近B点的三等分点F,则直线 与直线 不共面.C.在平面 上存在一动点P,满足 ,则P点轨迹为一椭圆. D.在平面 上存在一动点Q,点Q到点O的距离和点Q到直线AB的距离相等,则点Q的轨迹为抛 物线,其准线到焦点的距离为 . 10.(2022·湖北省仙桃中学模拟预测)已知点 为正方体 的棱 的中点,过 的平面 截正方体, ,下列说法正确的是( ) A.若 与地面 所成角的正切值为 ,则截面为正六边形或正三角形 B. 与地面 所成角为 则截面不可能为六边形 C.若截面为正三角形 时,三棱锥 的外接球的半径为 D.若截面为四边形,则截面与平面 所成角的余弦值的最小值为 三、填空题 11.(2022·河南·新乡县高中模拟预测(理))已知A,B两点在球O的球面上,过直线AB的两个平面所 成的锐二面角为60°,两平面与球面的交线分别为圆C和圆D,圆C的半径为1,圆D的半径为2,且AB 是圆C的一条直径,则该球的半径为______. 12.(2022·广东广州·三模)讲一个半径为5 的水晶球放在如图所示的工艺架上,支架是由三根金属杆 PA、PB、PC组成,它们两两成60°角.则水晶球的球心到支架P的距离是___________ .13.(2022·广东·一模)如图为四棱锥 的侧面展开图(点 , 重合为点 ),其中 , , 是线段 的中点,请写出四棱锥 中一对一定相互垂直的异面直线:__________. (填上你认为正确的一个结论即可,不必考虑所有可能的情形) 14.(2022·甘肃·高台县第一中学模拟预测(文))在棱长为 的正方体 中, 分别 为 的中点, 为正方体棱上一动点.下列说法中所有正确的序号是___________ ① 在 上运动时,存在某个位置,使得 与 所成角为 ; ② 在 上运动时, 与 所成角的最大正弦值为 ; ③ 在 上运动且 时,过 三点的平面截正方体所得多边形的周长为 ; ④ 在 上运动时( 不与 重合),若点 在同一球面上,则该球表面积最大值为 .1.(2021·全国高考真题)如图,在正方体中,O为底面的中心,P为所在棱的中点,M,N为正方体的顶 点.则满足 的是( ) A. B. C. D. 2.(2019•新课标Ⅲ,理8文8)如图,点 为正方形 的中心, 为正三角形,平面 平 面 , 是线段 的中点,则 A. ,且直线 , 是相交直线 B. ,且直线 , 是相交直线 C. ,且直线 , 是异面直线 D. ,且直线 , 是异面直线 3.(2019•新课标Ⅱ,理7文7)设 , 为两个平面,则 的充要条件是 A. 内有无数条直线与 平行 B. 内有两条相交直线与 平行 C. , 平行于同一条直线 D. , 垂直于同一平面 4.(2017•新课标Ⅰ,文6)如图,在下列四个正方体中, , 为正方体的两个顶点, , , 为所 在棱的中点,则在这四个正方体中,直线 与平面 不平行的是A. B. C. D. 5.(2018浙江)已知平面 ,直线 , 满足 , ,则“ ∥ ”是“ ∥ ”的( ) A.充分不必要条件 B.必要不充分条件 C.充分必要条件 D.既不充分也不必要条件 6.(2017•新课标Ⅲ,文10)在正方体 中, 为棱 的中点,则 A. B. C. D. 7.(2015福建)若 是两条不同的直线, 垂直于平面 ,则“ ”是“ ∥ ”的 A.充分而不必要条件 B.必要而不充分条件 C.充分必要条件 D.既不充分也不必要条件 8.(2019•新课标Ⅰ,文16)已知 , 为平面 外一点, ,点 到 两边 , 的距离均为 ,那么 到平面 的距离为 . 9.(2016•新课标Ⅱ,理14) , 是两个平面, , 是两条直线,有下列四个命题: ①如果 , , ,那么 . ②如果 , ,那么 . ③如果 , ,那么 . ④如果 , ,那么 与 所成的角和 与 所成的角相等. 其中正确的命题是 (填序号) 10.(2019北京理12)已知l,m是平面a外的两条不同直线.给出下列三个论断: l m mPa l a ① ; ② ; ③ 以其中的两个论断作为条件,余下的一个论断作为结论,写出一个正确的命题: ______.1.【答案】D 【解析】因为平面 平面 ,平面 平面 ,平面 平面 ,则 ; 在正方体中,易证 平面 ,故 ,所以 ,即 与 所成角的大小为 . 故选: . 2.【解析】如图所示,连接 , 即为异面直线 所成角 , 又 ,在 中, 是正三角形 故选:C 3.【答案】C 【解析】①中, ,则平面 与平面 可能平行,可能相交也可能垂直,故①错误; ②中, ,直线 与直线 可能平行,异面或者垂直,故②错误; ③中, ,则 ,故 ,故③正确; ④中, ,则 ,故④正确. 故选:C. 4.【答案】A 【解析】如图,易知 ,所以 ,且 , 所以 为梯形,故 与EF相交,A正确; 因为 ,所以 ,故B错误; 因为平面CDH 平面EFNL, 平面CDH, 平面EFNL, 所以直线CD与直线EF无公共点,故C错误; 因为 平面ADF, 平面 ,故AD与EF异面,D错误. 故选:A 5.【答案】C【解析】如图所示: 取AB的中点F,连接EF,CF,易知 ,则∠ECF(或其补角)为直线 与CE所成角.不妨设 ,则 , , ,由余弦定理得 ,即直线 与CE 所成角的余弦值为 . 故选:C. 6.【答案】D 【解析】依题意 , A选项,若 ,则可能 ,所以A选项错误. B选项,若 ,则 与 可能相交、异面、平行,所以B选项错误. C选项,若 ,则可能 ,所以C选项错误. D选项,由于 ,所以平面 内存在直线 ,满足 , 若 ,则 ,则 ,所以D选项正确. 故选:D 7.【答案】D 【解析】如图连接 , 因为 分别为 的中点,所以 , ∥ , 所以四边形 为平行四边形,所以 ∥ , 因为 ∥ ,所以 ∥ ,所以 四点共面, 所以 与 相交,所以点 与点 不可视,所以排除A,因为 ∥ ,所以 共面, 所以由图可知 与 相交, 与 相交, 所以点 ,点 都与点 不可视,所以排除BC, 故选:D 8.【答案】B 【解析】对于A,若l∥α,l∥β,则α,β可能相交,故错误; 对于B,若l∥α,l⊥β,根据线面平行的性质定理可知,α内一定存在和l平行的直线m, 则m也垂直于β,由线面垂直的判定定理可知α⊥β,故B正确; 对于C,若α⊥β,l⊥α,则l可能在β内,故错误; 对于D,若α⊥β,l∥α,则l可能和β平行,故错误, 故选:B 9.【答案】BCD 【解析】A:由垂直于同一平面的两直线平行,可知A正确; B:由 , 可得 或者 ,故B错误; C:由 , , 可得 与 异面或 ,故C错误; D:由 , , ,当 时,不能得到 ,只有当 时,才可以得到 ,故D错误. 故选:BCD 10.【答案】BCD 【解析】对于A选项,因为 与 平行,与 异面,故A错误; 对于B选项,连接 , ,因为六棱台 是正六棱台, 所以 平面 , 平面 ,故 , 又因为底面 是正六边形,所以 , 平面 , 平面 , 所以 平面 , 即 平面 ,故B正确; 对于C选项,设 与 交于点 ,因为 , ,所以 , ,又 ,所以 , 即 ,又 ,所以 是平行四边形, , 平面 , 平面 , 所以 平面 ,故C正确; 对于D选项, 平面 , 平面 为侧棱与底面所成的角,在 中, ,所以 ,故D正确. 故选:BCD 11.【答案】 【解析】如图所示,设 分别为 和 的中点, 可得 , ,且 , 所以异面直线 与 所成角即为直线 与 所成的角, 作 的中点为 ,则 为直角三角形, 因为 , 在 中, 由余弦定理可得 , 所以 ,所以 , 在 中, , 在 中, 可得 , 又因为异面直线所成角的范围是 , 所以 与 所成的角的余弦值为 . 故答案为: .12.【答案】 【解析】如图所示,取 的中点 ,连接 , ,则 , 则 为异面直线 与 所成的角(或补角), 因为 是边长为2的等边三角形,所以 , 又因为 ,所以 , 则 , , 又由四边形 为正方形,所以 , 所以 . 故答案为: .13.【答案】 【解析】取 的中点 ,连接 , , ∵ 且 为 的中点,∴ , 又∵平面 平面 ,平面 平面 , 平面 , ∴ 平面 , 则直线PC与平面ABCE所成角为 , 即 , 所以 . 故答案为: . 14.【答案】①②④ 【解析】在①中,如图所示,连接 , ,延长 , 交于点 ,因为 , 为 , 的中点, 所以 , ,所以 ,所以 , , , 四点共面, 所以截面即为梯形 ,所以上底边 的中点不在平面 内,故①错误;在②中,如图所示,取 的中点 ,连接 , ,由条件可知 , , 且 , ,所以平面 平面 , 又因为 平面 ,所以 平面 ,故②错误; 在③中,由①可知,因为 , , 所以 ,所以 ,故③正确; 在④中,记点 与点 到平面 的距离分别为 , , 因为 ,所以 , 又因为 , 所以 ,故④错误. 故答案为:①②④ . 1.【答案】B 【解析】∵正四面体 ,点M为 的重心, ∴M为等边 的中心, ∴ 面 , 面 ,∴ . 直线 与 交于点A,故AN不与DM垂直,故排除A;延长DM交BC于点G,则G为BC中点,连接AG,如图所示, 边长为 ,在 中可得 , 由 , , , . 故B正确,C错误; 在 中,H,M分别为NA,NG的中点, ∴ ,又∵ ,∴HM不与AB平行, 故D错误. 故选:B. 2.【答案】D 【解析】由面面平行的判定定理分析可知(1)错,(2),(3),(4)正确. 故选:D 3.【答案】C 【解析】对于①,连接 , , , 四边形 为平行四边形, , 又 平面 , 平面 , 平面 ,同理可得: 平面 , , 平面 , 平面 平面 , 若 是直线 上的动点,则 平面 , 平面 ,①正确; 对于②,由①知, 平面 , ,②正确; 对于③,连接 ,交 于点 ,连接 , 平面 平面 , 平面 与平面 所成的锐二面角即为平面 与平面 所成的锐二面角, 四边形 为正方形, , 为 中点, 又 , , 即为平面 与平面 所成的锐二面角的平面角, , , 即平面 与平面 所成的锐二面角不为 ,③错误; 对于④, 四边形 为正方形, , 平面 , 平面 , , 又 , 平面 , 平面 ;若 是直线 上的动点,则 平面 , ,④正确. 故选:C. 4.【答案】A 【解析】如下图所示: 在三棱锥 中, 平面 , 且 , , 因为 平面 , 、 、 平面 ,则 , , , , , 平面 , 平面 , , 所以,三棱锥 的四个面都是直角三角形,且 , , 设线段 的中点为 ,则 , 所以,点 为三棱锥 的外接球球心, 设球 的半径为 ,则 ,因此,球 的表面积为 . 故选:A. 5.【答案】B 【解析】分别取棱 , 的中点G,H,连接AH,HQ,NH,MG,GH.易证四边形APQH是平行四边形,四边形MNHG是平行四边形, 则 , , 故 是异面直线PQ与MN所成的角或其补角. 因为 , , 所以 , , , 则 , 故异面直线PQ与MN所成角的余弦值是 . 故选:B 6.【答案】C 【解析】如下图,在正方体中,体对角线 与平面 ,平面 ,平面 都垂直,由图可知, 在平面 运动过程中 只可能为三角形或六边形,故A正确;由题可知平面 与 都垂直,所以平面 在移动过程中都是平行平面,与平面 的夹角为定值,故B正确;如下图,当 为对角线 中点时, 为正六边形 ,而三角形 为等边三角形,根据中位线定理 ,可得两个截面周长 相等,故C错误;由图可得,当 为对角线 中点时, 为正六边形 ,设边长 ,面积 为 ,当 向下刚开始移动时, 为六边形 ,结合图形可知两邻边一条增大,一条减小 且变化量相等,设 ,而且所有六边形的高都相等且等于 ,两邻边夹角 都为 ,则 六边形 梯形,当 为三角形时面积最大为 ,所以当且仅当 为对角线 中点时, 的面积最大,故D正确. 故选:C. 7.【答案】C 【解析】在四面体ABCD中, , 平面BCD, .∵ 平面BCD, 平面 BCD, ,又 , ,则 平面 ,过 作 于点 ,过点 作 ,则 平面 , 平面 ,故 , ,则 平面 , 平 面 ,故平面 平面ACD,设 ,设 ,在 中, , ,在 中, , , ,在△ 中, ,则 ,故 ,故 ,令 , ,得 ,当 时, ,当时, ,故函数 在 时单调递减,在 时单调递增,即当 时, 有最小值,此时截面面积最大,故当 , 时,截面面积最大,故若截面面积存在 最大值,则 ,故 的最大值为 , 故选:C. 8.【答案】B 【解析】 如图:延长EF,AB交于M,延长EG,AC交于N,延长FG,BC交于D,易得MN为平面ABC和平面 EFG的交线, 又D在平面ABC和平面EFG上,则D在直线MN上,即M,N,D三点共线,由外角定理可得. 过A作 面EFG,垂足为P,过A作 ,垂足为Q,连接 ,易得 即为直线 与 平面 所成的角 , 则 ,又 面EFG, 面EFG,则 ,又 , 面 , , 所以 面 , 面 ,则 ,则 即为平面 与底面 所成的锐二面角 , 则 , 又 ,则 ,同理可得 ,则 , 又由 , , 则 , 故 ,A,C错误; 故 ,由 可知 ,所以 , 即 ,整理可得 ,即 ,即 , 故 ,又 ,故 , B正确,D错误. 故选:B. 9.【答案】AD 【解析】选项A:取 中点H,连接 正六面体 中, 则 平面 ,则 为直线 与平面 所成角 ,中 , 则 ,即直线 与平面 所成角的正弦值为 . 由O为线段 的中点,E为线段CD中点,可得 则直线OE与平面 所成角的正弦值为 .判断正确; 选项B:在线段 上取靠近 点的三等分点H,连接正六面体 中, 则四边形 为平行四边形,则 相交且互相平分,则 又 ,则四边形 为平行四边形, 则 相交且互相平分,则 又四边形 为平行四边形,则 则直线 与直线 共面.判断错误; 选项C:在平面 上一动点P,满足 , 又正六面体 的棱长为2 ,则P点轨迹为线段 .判断错误; 选项D:连接则正六面体 中, 则O点为矩形 的中心. 在平面 上一动点Q,点Q到点O的距离和点Q到直线的距离相等, 则点Q的轨迹是以O为焦点以直线AB为准线的抛物线, 焦点O到准线AB的距离为 .判断正确. 故选:AD 10.【答案】AD 【解析】取 的中点 ,做 底面 ,则 为 的四等分点, 且 ,分别取 的中点 ,连接 、 交于 点,则 点为 的四等 分点,连接 ,在正方体 中, , ,此时 平面 , 即平面 与底面 所成的角为 ,且 , 因为平面 平面 ,所以平面 与底面 所成的角的正切值为 , 再分别取 的中点 ,连接 ,即过 的平面 截正方体的截面为正六边形 ;取 的中点 ,连接 ,则 为等边三角形, ,所以 即为平面 与平面 所成的二面角的平面角, 且 , , , 所以平面 与平面 所成的二面角的平面角的正切值为 ,此时 为等边三角形,故A正 确;当 时, ,所以 ,所以 , 由于 ,所以 为等腰直角三角形, , 由于 ,所以四边形 为等腰梯形,必与 有交点, 则截面为六边形,故B错误; 若截面为正三角形 时,则 为 的中点, 所以三棱锥 为正三棱锥,且 , , 设正三角形 的外接圆的圆心为 ,外接球的球心为 ,连接 , 则 , , 因为 , 所以 ,在 中,因为 ,所以 ,解得 ,故C错误; , 若截面为四边形,则截面与底面 棱的交点必在 上,且截面为 时与平面 所成 角的最大,此时的余弦值最小,连接 ,取 的中点 ,连接 , ,则 , , 四边形 为等腰梯形, , 则 即为截面为 时与平面 所成平面角, , , ,在 中, 由余弦定理得 ,故D正确. 故选:AD. 11.【答案】【解析】由题意可知,如图所示, 因为 , ,C为AB的中点,所以 . 又因为 圆C所在平面, 圆C与圆D所在平面所成的锐二面角为60°,所以 . 又因为 圆D所在平面,所以在 中, , 所以在 中, . 故答案为: . 12.【答案】5 【解析】设PO=x,作OD⊥平面BPA,连接AD,DB,则PA= , DA= ,PD= , OD= , cos60°=cos30°cos∠CPD, ,1= , ,所以x= ,故答案为:5 . 【点睛】本题考查直线与球相切的有关问题,考查学生逻辑思维能力,空间想象能力,是中档题.关键是利 用含有直二面角的三面角三余弦定理cos∠APC=cos∠APDcos∠CPD计算求解. 13.【答案】 和 ( 和 , 和 , 和 )(写出其中一对即可) 【解析】如图所示,连接 和 ,相交于点 ,连接 . 因为 , 所以 , 所以 , 又 ,所以 , 所以 , , 所以 . 因为 , 所以 . 又因为 平面 , 所以 平面 , 又 平面 , 所以 . 故答案为: 和 .14.【答案】②④ 【解析】对于①,连接 , 平面 , 平面 , ; 四边形 为正方形, ; 又 , 平面 , 平面 , 又 平面 , ,即 与 所成角恒为 ,①错误; 对于②,取 中点 ,连接 , ,分别为 中点, ,又 平面 , 平面 , 与 所成角即为 , , 当 最大时, 最小, 又 , 当 最大时, 最小, 当 与 或 重合时, 取得最大值 , 的最小值为 ,②正确; 对于③,延长 交于点 ,连接 交 于 ; 延长 交于点 ,连接 交 于 ; 则过 三点的平面截正方体所得多边形即为五边形 ; 取 中点 ,连接 , , , ,即 , 同理可得: , ; , , , 五边形 的周长为 ,③错误; 对于④,若点 在同一球面上,则该球即为三棱锥 的外接球,的外接圆半径 , 三棱锥 外接球半径 , 又 的最大值为 , , 该球表面积最大值为 ,④正确. 故答案为:②④. 1.【答案】BC 【解析】设正方体的棱长为 ,对于A,如图(1)所示,连接 ,则 , 故 (或其补角)为异面直线 所成的角, 在直角三角形 , , ,故 , 故 不成立,故A错误. 2.【答案】B 【解析】 点 为正方形 的中心, 为正三角形,平面 平面 , 是线段 的 中点, 平面 , 平面 , 是 中 边上的中线, 是 中 边上 的中线, 直线 , 是相交直线,设 ,则 , , , , ,故选 .3.【答案】B 【解析】对于 , 内有无数条直线与 平行, 或 ; 对于 , 内有两条相交直线与 平行, ; 对于 , , 平行于同一条直线, 或 ; 对于 , , 垂直于同一平面, 或 .故选 . 4.【答案】A 【解析】对于选项 ,由于 ,结合线面平行判定定理可知 不满足题意;对于选项 ,由于 ,结合线面平行判定定理可知 不满足题意;对于选项 ,由于 ,结合线面平行判定 定理可知 不满足题意;所以选项 满足题意,故选 . 5.【答案】A 【解析】若 , , ∥ ,由线面平行的判定定理知 ∥ .若 ∥ , , , 不一定推出 ∥ ,直线 与 可能异面,故“ ∥ ”是“ ∥ ”的充分不必要条件.故选A. 6.【答案】C 【解析】连 ,由题意得 , 平面 ,且 平面 , , , 平面 , 平面 , , 故选 . 7.【答案】B 【解析】由“ 且 ”推出“ 或 ”,但由“ 且 ”可推出“ ”, 所以“ ”是“ ”的必要而不充分条件,故选B. 8.【答案】 【解析】因为 , 为平面 外一点, ,点 到 两边 , 的距离均为 , 过点 作 ,交 于 ,作 ,交 于 ,过 作 平面 ,交平面 于 , 连结 , ,则 , , , 到平面 的距离为 .9.【答案】②③④ 【解析】①如果 , , ,不能得出 ,故错误; ②如果 ,则存在直线 ,使 ,由 ,可得 ,那么 .故正确; ③如果 , ,那么 与 无公共点,则 ,故正确 ④如果 , ,那么 , 与 所成的角和 , 与 所成的角均相等,故正确; l ,l m mP mP l , l m 10.【答案】 若 ,则 或 , 则 . 【解析】由l,m是平面α外的两条不同直线,知: l ,l m mP 由线面平行的判定定理得: 若 ,则 . mP l , l m 由线面平行、垂直的性质定理得 , 则 .