当前位置:首页>文档>第16章二次根式(单元测试·综合卷)-(人教版)_初中数学_八年级数学下册(人教版)_专题突破练习-V4

第16章二次根式(单元测试·综合卷)-(人教版)_初中数学_八年级数学下册(人教版)_专题突破练习-V4

  • 2026-05-02 08:41:49 2026-03-28 02:55:39

文档预览

第16章二次根式(单元测试·综合卷)-(人教版)_初中数学_八年级数学下册(人教版)_专题突破练习-V4
第16章二次根式(单元测试·综合卷)-(人教版)_初中数学_八年级数学下册(人教版)_专题突破练习-V4
第16章二次根式(单元测试·综合卷)-(人教版)_初中数学_八年级数学下册(人教版)_专题突破练习-V4
第16章二次根式(单元测试·综合卷)-(人教版)_初中数学_八年级数学下册(人教版)_专题突破练习-V4
第16章二次根式(单元测试·综合卷)-(人教版)_初中数学_八年级数学下册(人教版)_专题突破练习-V4
第16章二次根式(单元测试·综合卷)-(人教版)_初中数学_八年级数学下册(人教版)_专题突破练习-V4
第16章二次根式(单元测试·综合卷)-(人教版)_初中数学_八年级数学下册(人教版)_专题突破练习-V4
第16章二次根式(单元测试·综合卷)-(人教版)_初中数学_八年级数学下册(人教版)_专题突破练习-V4
第16章二次根式(单元测试·综合卷)-(人教版)_初中数学_八年级数学下册(人教版)_专题突破练习-V4
第16章二次根式(单元测试·综合卷)-(人教版)_初中数学_八年级数学下册(人教版)_专题突破练习-V4
第16章二次根式(单元测试·综合卷)-(人教版)_初中数学_八年级数学下册(人教版)_专题突破练习-V4
第16章二次根式(单元测试·综合卷)-(人教版)_初中数学_八年级数学下册(人教版)_专题突破练习-V4
第16章二次根式(单元测试·综合卷)-(人教版)_初中数学_八年级数学下册(人教版)_专题突破练习-V4
第16章二次根式(单元测试·综合卷)-(人教版)_初中数学_八年级数学下册(人教版)_专题突破练习-V4
第16章二次根式(单元测试·综合卷)-(人教版)_初中数学_八年级数学下册(人教版)_专题突破练习-V4
第16章二次根式(单元测试·综合卷)-(人教版)_初中数学_八年级数学下册(人教版)_专题突破练习-V4
第16章二次根式(单元测试·综合卷)-(人教版)_初中数学_八年级数学下册(人教版)_专题突破练习-V4
第16章二次根式(单元测试·综合卷)-(人教版)_初中数学_八年级数学下册(人教版)_专题突破练习-V4
第16章二次根式(单元测试·综合卷)-(人教版)_初中数学_八年级数学下册(人教版)_专题突破练习-V4
第16章二次根式(单元测试·综合卷)-(人教版)_初中数学_八年级数学下册(人教版)_专题突破练习-V4
第16章二次根式(单元测试·综合卷)-(人教版)_初中数学_八年级数学下册(人教版)_专题突破练习-V4

文档信息

文档格式
docx
文档大小
2.196 MB
文档页数
17 页
上传时间
2026-03-28 02:55:39

文档内容

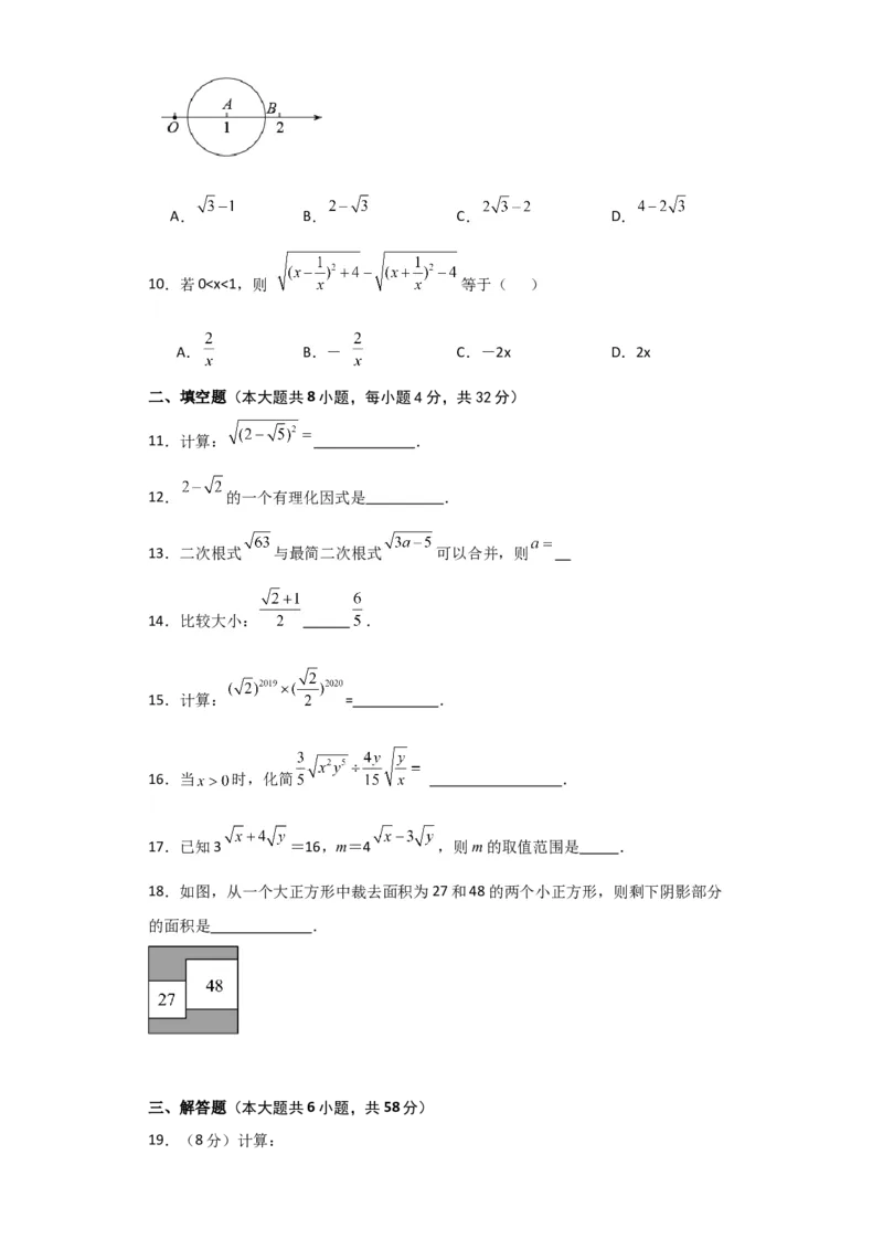
第16 章 二次根式(单元测试·综合卷) 一、单选题(本大题共10小题,每小题3分,共30分) 1.代数式 中x的取值范围是( ) A. B. C. D. 2.下列二次根式中,不是最简二次根式的是( ) A. B. C. D. 3.下列二次根式中,与 是同类二次根式的是( ) A. B. C. D. 4.已知 ,则 的值为( ) A. B. C.12 D.18 5.计算 的结果是( ) A. B. C. D. 6.将 , , 用不等号连接起来为( ) A. B. C. D. 7.在下列各组线段中,能组成三角形的是( ) A.1cm,2cm,3cm B. C. cm, cm, cm D. cm, cm,5cm 8.当x<0时,化简|x|+ 的结果是( ) A.-1 B.1 C.1-2x D.2x-1 9.如图,数轴上A,B两点表示的数分别为1, ,则⊙A的直径长为( )A. B. C. D. 10.若0