当前位置:首页>文档>专题16.20二次根式(分层练习)(培优练)(人教版)_初中数学_八年级数学下册(人教版)_专题突破练习-V4

专题16.20二次根式(分层练习)(培优练)(人教版)_初中数学_八年级数学下册(人教版)_专题突破练习-V4

  • 2026-03-25 12:14:09 2026-03-23 14:38:39

文档预览

专题16.20二次根式(分层练习)(培优练)(人教版)_初中数学_八年级数学下册(人教版)_专题突破练习-V4
专题16.20二次根式(分层练习)(培优练)(人教版)_初中数学_八年级数学下册(人教版)_专题突破练习-V4
专题16.20二次根式(分层练习)(培优练)(人教版)_初中数学_八年级数学下册(人教版)_专题突破练习-V4
专题16.20二次根式(分层练习)(培优练)(人教版)_初中数学_八年级数学下册(人教版)_专题突破练习-V4
专题16.20二次根式(分层练习)(培优练)(人教版)_初中数学_八年级数学下册(人教版)_专题突破练习-V4
专题16.20二次根式(分层练习)(培优练)(人教版)_初中数学_八年级数学下册(人教版)_专题突破练习-V4
专题16.20二次根式(分层练习)(培优练)(人教版)_初中数学_八年级数学下册(人教版)_专题突破练习-V4
专题16.20二次根式(分层练习)(培优练)(人教版)_初中数学_八年级数学下册(人教版)_专题突破练习-V4
专题16.20二次根式(分层练习)(培优练)(人教版)_初中数学_八年级数学下册(人教版)_专题突破练习-V4
专题16.20二次根式(分层练习)(培优练)(人教版)_初中数学_八年级数学下册(人教版)_专题突破练习-V4
专题16.20二次根式(分层练习)(培优练)(人教版)_初中数学_八年级数学下册(人教版)_专题突破练习-V4
专题16.20二次根式(分层练习)(培优练)(人教版)_初中数学_八年级数学下册(人教版)_专题突破练习-V4
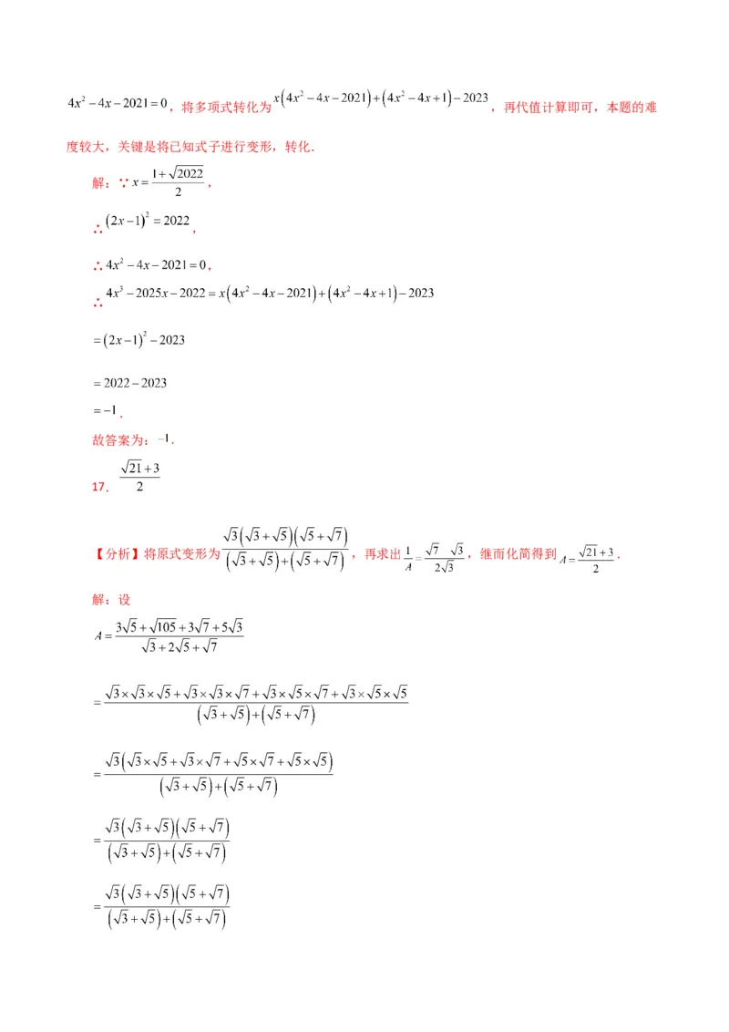
专题16.20二次根式(分层练习)(培优练)(人教版)_初中数学_八年级数学下册(人教版)_专题突破练习-V4
专题16.20二次根式(分层练习)(培优练)(人教版)_初中数学_八年级数学下册(人教版)_专题突破练习-V4
专题16.20二次根式(分层练习)(培优练)(人教版)_初中数学_八年级数学下册(人教版)_专题突破练习-V4
专题16.20二次根式(分层练习)(培优练)(人教版)_初中数学_八年级数学下册(人教版)_专题突破练习-V4
专题16.20二次根式(分层练习)(培优练)(人教版)_初中数学_八年级数学下册(人教版)_专题突破练习-V4
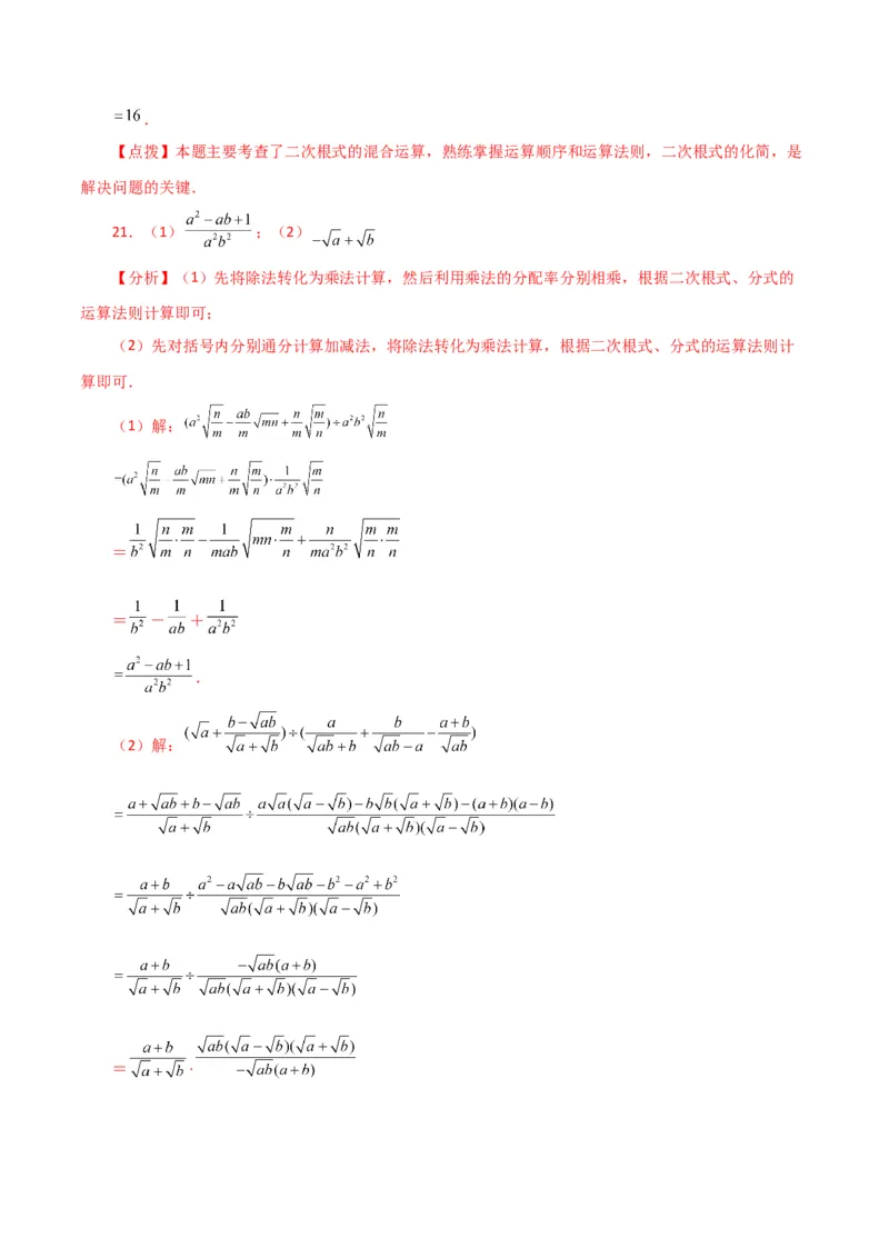
专题16.20二次根式(分层练习)(培优练)(人教版)_初中数学_八年级数学下册(人教版)_专题突破练习-V4
专题16.20二次根式(分层练习)(培优练)(人教版)_初中数学_八年级数学下册(人教版)_专题突破练习-V4
专题16.20二次根式(分层练习)(培优练)(人教版)_初中数学_八年级数学下册(人教版)_专题突破练习-V4
专题16.20二次根式(分层练习)(培优练)(人教版)_初中数学_八年级数学下册(人教版)_专题突破练习-V4
专题16.20二次根式(分层练习)(培优练)(人教版)_初中数学_八年级数学下册(人教版)_专题突破练习-V4
专题16.20二次根式(分层练习)(培优练)(人教版)_初中数学_八年级数学下册(人教版)_专题突破练习-V4
专题16.20二次根式(分层练习)(培优练)(人教版)_初中数学_八年级数学下册(人教版)_专题突破练习-V4

文档信息

文档格式
docx
文档大小
2.466 MB
文档页数
24 页
上传时间
2026-03-23 14:38:39

文档内容

专题16.20 二次根式(分层练习)(培优练) 一、单选题(本大题共10小题,每小题3分,共30分) 1.(2019上·四川成都·八年级校考阶段练习)若 有意义,则字母x的取值范围是( ) A.x≥1 B.x≠2 C.x≥1且x=2 D..x≥-1且x≠2 2.(2017上·八年级单元测试)化简 的结果为( ) A. B.30 C. D.30 3.(2019上·陕西宝鸡·八年级校考阶段练习)化简二次根式 的结果是( ) A. B.- C. D.- 4.(2017上·八年级单元测试)下列计算不正确的是 ( ) A. B. C. D. 5.(2023上·浙江嘉兴·九年级校考开学考试)化简 的结果是( ) A. B. C.2 D. 6.(2019下·重庆巴南·八年级统考期中)如果关于x的不等式组 的解集为 ,且式 子 的值是整数,则符合条件的所有整数m的个数是( ). A.5 B.4 C.3 D.27.(2020上·重庆沙坪坝·八年级统考期末)若二次根式 有意义,且关于x的分式方程 有正数解,则符合条件的整数m的和是( ) A.﹣7 B.﹣6 C.﹣5 D.﹣4 8.(2023下·浙江·八年级阶段练习)已知 ,则代数式 的值为( ) A. B. C. D. 9.(2022上·河南周口·九年级校联考阶段练习)若 , , 则a与b的大小关系是( ) A.a>b B.a