当前位置:首页>文档>易错12分式中先化简再求值专题易错(原卷版)-八年级数学下册期末突破易错挑战满分(北师大版)_北师大初中数学_8下-北师大版初中数学_旧版-可参考_06专项讲练

易错12分式中先化简再求值专题易错(原卷版)-八年级数学下册期末突破易错挑战满分(北师大版)_北师大初中数学_8下-北师大版初中数学_旧版-可参考_06专项讲练

  • 2026-04-14 06:15:34 2026-04-14 03:37:22

文档预览

易错12分式中先化简再求值专题易错(原卷版)-八年级数学下册期末突破易错挑战满分(北师大版)_北师大初中数学_8下-北师大版初中数学_旧版-可参考_06专项讲练
易错12分式中先化简再求值专题易错(原卷版)-八年级数学下册期末突破易错挑战满分(北师大版)_北师大初中数学_8下-北师大版初中数学_旧版-可参考_06专项讲练
易错12分式中先化简再求值专题易错(原卷版)-八年级数学下册期末突破易错挑战满分(北师大版)_北师大初中数学_8下-北师大版初中数学_旧版-可参考_06专项讲练
易错12分式中先化简再求值专题易错(原卷版)-八年级数学下册期末突破易错挑战满分(北师大版)_北师大初中数学_8下-北师大版初中数学_旧版-可参考_06专项讲练
易错12分式中先化简再求值专题易错(原卷版)-八年级数学下册期末突破易错挑战满分(北师大版)_北师大初中数学_8下-北师大版初中数学_旧版-可参考_06专项讲练
易错12分式中先化简再求值专题易错(原卷版)-八年级数学下册期末突破易错挑战满分(北师大版)_北师大初中数学_8下-北师大版初中数学_旧版-可参考_06专项讲练
易错12分式中先化简再求值专题易错(原卷版)-八年级数学下册期末突破易错挑战满分(北师大版)_北师大初中数学_8下-北师大版初中数学_旧版-可参考_06专项讲练
易错12分式中先化简再求值专题易错(原卷版)-八年级数学下册期末突破易错挑战满分(北师大版)_北师大初中数学_8下-北师大版初中数学_旧版-可参考_06专项讲练
易错12分式中先化简再求值专题易错(原卷版)-八年级数学下册期末突破易错挑战满分(北师大版)_北师大初中数学_8下-北师大版初中数学_旧版-可参考_06专项讲练
易错12分式中先化简再求值专题易错(原卷版)-八年级数学下册期末突破易错挑战满分(北师大版)_北师大初中数学_8下-北师大版初中数学_旧版-可参考_06专项讲练
易错12分式中先化简再求值专题易错(原卷版)-八年级数学下册期末突破易错挑战满分(北师大版)_北师大初中数学_8下-北师大版初中数学_旧版-可参考_06专项讲练
易错12分式中先化简再求值专题易错(原卷版)-八年级数学下册期末突破易错挑战满分(北师大版)_北师大初中数学_8下-北师大版初中数学_旧版-可参考_06专项讲练
易错12分式中先化简再求值专题易错(原卷版)-八年级数学下册期末突破易错挑战满分(北师大版)_北师大初中数学_8下-北师大版初中数学_旧版-可参考_06专项讲练
易错12分式中先化简再求值专题易错(原卷版)-八年级数学下册期末突破易错挑战满分(北师大版)_北师大初中数学_8下-北师大版初中数学_旧版-可参考_06专项讲练

文档信息

文档格式
docx
文档大小
0.131 MB
文档页数
10 页
上传时间
2026-04-14 03:37:22

文档内容

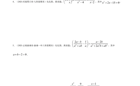
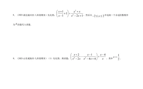
2020-2021 学年八年级数学下册期末突破易错挑战满分(北师大版) 易错12 分式中先化简再求值专题易错 【典型例题】 1.(2021·山东烟台市·八年级期末)先化简 ,再从 , ,2中选一个合适的数代入并求值. 【专题训练】 一、解答题 1.(2021·西藏日喀则市·八年级期末)化简求值 ,其中 =2 2.(2021·福建厦门市·八年级期末)先化简,再求值: ,其中m=1.3.(2020·江苏苏州市·八年级期中)先化简 ,然后请你为 在 到2之间(包括 和2), 任意选取一个合适的整数,再求出此时原式的值. 4.(2021·河南周口市·九年级期末)先化简,再求值: ,其中 . 5.(2021·云南曲靖市·曲靖一中八年级期末)先化简,再求值: ,其中 . 6.(2021·广东广州市·八年级期末)先化简,再求值:已知( + )÷ ,其中x满足x2+2x﹣5=0.7.(2021·内蒙古赤峰市·八年级期末)先化简,再求值: ,其中x,y满足 . 8.(2021·湖北随州市·八年级期末)先化简: ,然后从 中选取一个合适的整数作 为 的值代入求值. 9.(2021·山东威海市·九年级期末)(1)先化简,再求值: ,其中 . 10.(2021·贵州遵义市·九年级期末)先化简 ,再从 中取一个合适的整数 代入 求值.11.(2021·湖南岳阳市·八年级期末)先化简: ,再从-1、-2、-3三个数中,选一个你认为合适的数 作为 的值代入求值. 12.(2021·广东韶关市·八年级期末)先化简,再求值: ,其中 . 13.(2021·湖北黄石市·九年级期末)先化简,再求值: ,其中 . 14.(2021·广西玉林市·八年级期末)先化简,再求值: ,其中 .15.(2021·安徽合肥市·八年级期末)先化简,再求值. ,在 范围中,选取合适的整 数x代入求值. 16.(2021·江西宜春市·八年级期末)先化简 ,再从 中选择一个合适的整数作为 的值 代入求值. 17.(2021·云南曲靖市·九年级期末)先化简,再求值: ,其中 .18.(2021·河南周口市·八年级期末)先化简,再求值: ,从 ,2, 中选一个值,代入求值. 19.(2021·浙江金华市·九年级期末)化简 ,并从1,2,3中选取所有合适的数作为a代入 求值. 20.(2021·贵州遵义市·八年级期末)先化简,再求值: ,请你从 中任选一个你喜欢的 数代入求值. 21.(2021·云南红河哈尼族彝族自治州·八年级期末)先化简,再求值: ,其中. 22.(2021·广东梅州市·九年级期末)先化简,再求值: ,其中 , . 23.(2021·湖北荆门市·八年级期末)先化简,再求值: ,其中 . 24.(2020·浙江杭州市·九年级期末)先化简代数式 ,然后在 范围选取一个适当的 整数作为a的值代入求值.25.(2021·上海九年级专题练习)先化简,再求值:(1﹣ )÷ ,其中x= +2 26.(2021·上海九年级专题练习)先化简,再求值: ,其中 . 27.(2021·安徽阜阳市·八年级期末)先化简,再求值: ,其中 , .28.(2021·江西赣州市·八年级期末)当 时,求代数式 的 值. 29.(2021·山东聊城市·八年级期末)先化简,再求值: ,其中 . 30.(2021·河南安阳市·八年级期末)先化简,再求值: ﹐其中 , . 31.(2021·江苏南通市·八年级期末)先化简,再求值: ,其中 .32.(2021·江西赣州市·八年级期末)先化简,再求值: ,其中 33.(2021·贵州遵义市·八年级期末)先化简,再求值: ,其中 . 34.(2021·上海九年级专题练习)先化简分式: ,再从不等式组 的解集中 取一个合适的整数代入,求原分式的值.