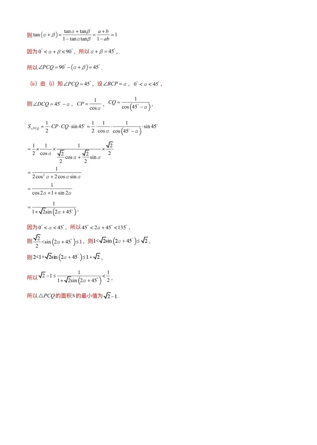
2026新版高一下册必修二册数学(人教A版)期中考试卷(含答案解析共11份)可打印下载!

(温馨提示:文末有完整电子领取方式)
2026新版高一下册必修二册数学(人教A版)期中考试(含答案解析共11份)电子版可打印下载!


















获取完整电子版:
①:点一点右下角的“赞”和“在看”,感谢!
②:点击“关注”在公众号对话框回复“2026”
本微信公众账号分享的资源均通过网络等公共合法渠道获得,仅供试用!版权属于原出版机构或影像公司,本资源为电子载体,若喜欢此资源,建议购买实体产品。文章中的视频及图片均来自网络,版权归原作者或原出版社所有。如有侵权,请及时联系删除。
夜雨聆风