当前位置:首页>文档>第9章不等式和不等式组单元检测(原卷版)_初中数学人教版_7下-初中数学人教版_7下-初中数学人教版(旧版)赠送_07专项讲练

第9章不等式和不等式组单元检测(原卷版)_初中数学人教版_7下-初中数学人教版_7下-初中数学人教版(旧版)赠送_07专项讲练

  • 2026-04-01 15:24:54 2026-03-28 14:27:21

文档预览

第9章不等式和不等式组单元检测(原卷版)_初中数学人教版_7下-初中数学人教版_7下-初中数学人教版(旧版)赠送_07专项讲练
第9章不等式和不等式组单元检测(原卷版)_初中数学人教版_7下-初中数学人教版_7下-初中数学人教版(旧版)赠送_07专项讲练
第9章不等式和不等式组单元检测(原卷版)_初中数学人教版_7下-初中数学人教版_7下-初中数学人教版(旧版)赠送_07专项讲练
第9章不等式和不等式组单元检测(原卷版)_初中数学人教版_7下-初中数学人教版_7下-初中数学人教版(旧版)赠送_07专项讲练
第9章不等式和不等式组单元检测(原卷版)_初中数学人教版_7下-初中数学人教版_7下-初中数学人教版(旧版)赠送_07专项讲练
第9章不等式和不等式组单元检测(原卷版)_初中数学人教版_7下-初中数学人教版_7下-初中数学人教版(旧版)赠送_07专项讲练
第9章不等式和不等式组单元检测(原卷版)_初中数学人教版_7下-初中数学人教版_7下-初中数学人教版(旧版)赠送_07专项讲练
第9章不等式和不等式组单元检测(原卷版)_初中数学人教版_7下-初中数学人教版_7下-初中数学人教版(旧版)赠送_07专项讲练

文档信息

文档格式
docx
文档大小
0.060 MB
文档页数
4 页
上传时间
2026-03-28 14:27:21

文档内容

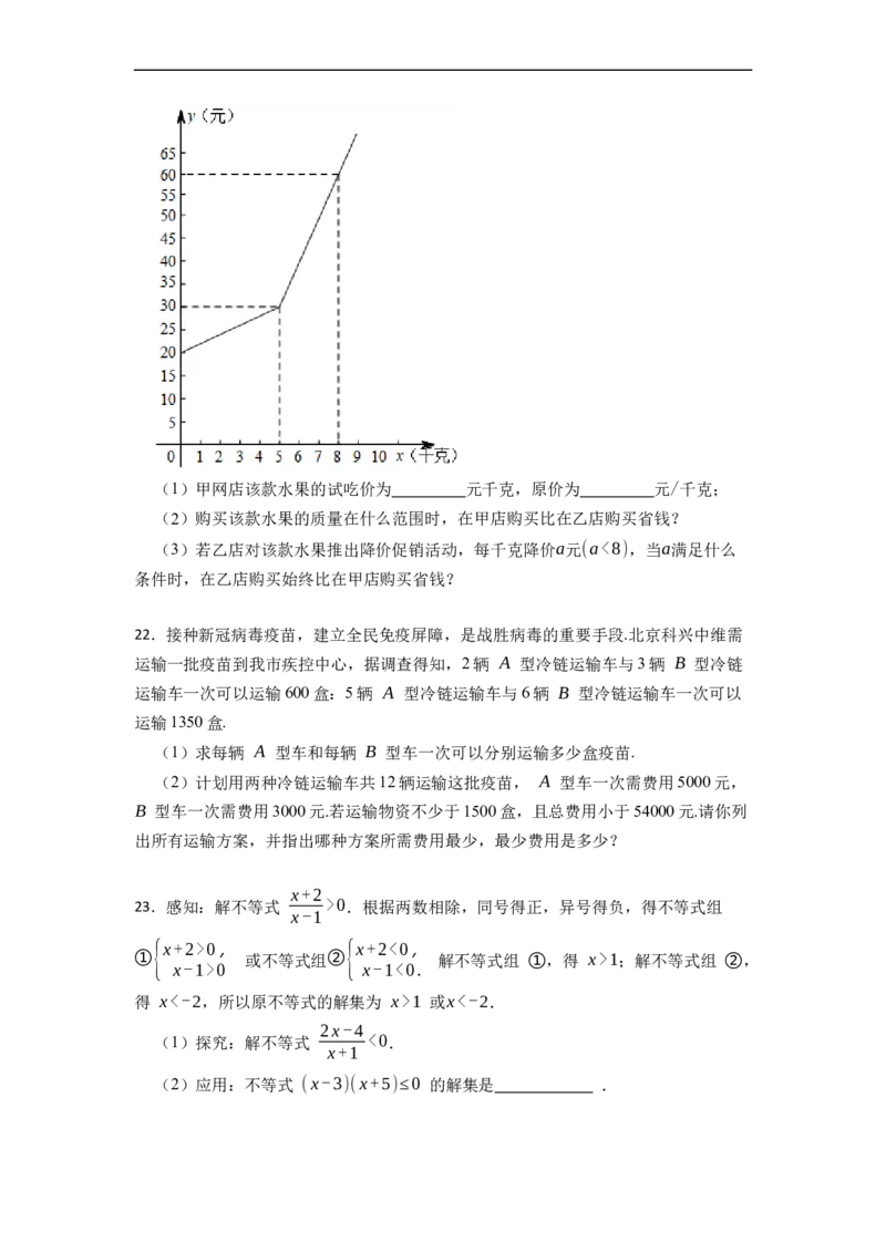
第9章 不等式和不等式组 单元检测 一、单选题(每题3分,共30分) 1.下列不等式中,是一元一次不等式的是( ) 1 A.x+1>2 B.x2 >9 C.2x+y≤5 D. >3 x 2.如果 a0 C.-3a<-3b D. 1 1 a> b 5 5 3.“a与1的差不小于-7”用不等式表示为( ) A.a-1≥-7 B.a-1≤-7 C.a-1>-7 D. a-1<-7 4.如果关于x的不等式 (a+2016)x>a+2016的解集为x <1,那么a的取值范围是( ) A.a>-2016 B.a <-2016 C.a>2016 D.a<2016 5.若函数y=-2mx-( m2 -4)的图象经过原点,且y随x的增大而增大,则( ) A.m=2 B.m=-2 C.m=±2 D.以上答案都不对 6.某种毛巾原零售价为每条6元,凡一次性购买两条以上,商家推出两种优惠销售办 法,第一种:“两条按原价,其余按七折付款”;第二种:“全部按原价的八折付 款”.若想在购买相同数量的情况下,要使第一种办法比第二种办法得到的优惠多,最 少要购买毛巾( ) A.4条 B.5条 C.6条 D.7条 2+x 2x-1 7.解不等式 > 的下列过程中错误的是( ) 3 5 A.去分母得5(2+x)>3(2x-1) B.去括号得10+5x>6x-3 C.移项,合并同类项得-x>-13 D.系数化为1,得x>13 {ax>b, 8.若a>-b>0,则关于x的不等式组 的解集是( ) bx>aa b b a A. D.x> b a a b { x-1≥0 9.不等式组 的解集在数轴上表示为( ) 4-2x>0 A. B. C. D. { x+ y>1, 10.若x,y满足方程 y-x=3 和不等式组 4- y ,则x的范围是( ) ≥-1, 2 A.-1m {x- y=1+3m 14.关于 x,y 的方程组 ¿ 的解 x 与 y 满足条件 x+ y≤2 ,则 x+3 y=1+m 4m+3 的最大值是 . 15.步步高超市在2018年初从科沃斯商城购进一批智能扫地机器人,进价为800元, 出售时标价为1200元,后来由于该商品积压,超市准备打折销售,但要保证利润率不 低于5%,则至多可打 折. 三、解答题16.解方程: (1)7-2x=3-4(x-2); 2x-1 2x+1 (2) - =-1. 3 6 17.解不等式(组),并要求把解集在数轴上表示出来. x-5 (1) +1>x-3 2 {4x-3<3(x+1) (2) 1 3 x-1≥7- x 2 2 18.一次数学竞赛中,共有20道题,规定答对一道题得6分,答错或不答一道题扣2分; 80分以上(含80分)可以获奖,问若要获奖,至少要答对几道题? {3x+4>x 19.已知不等式组 4 2 x≤x+ 3 3 (1)求不等式组的解集,并写出它的所有整数解; (2)在不等式组的所有整数解中任取两个不同的整数相乘,请用画树状图或列表的 方法求积为非负数的概率. {x+ y=5m-5 20.已知关于x,y的二元一次方程组 x- y=m+1 (1)写出一个不含m的关于x,y的二元一次方程; (2)解这个方程组(用含m式子表示); (3)若方程组的解(x,y)在第四象限,求整数m的值. 21.甲网店对某款水果推出试吃活动:5千克及以内为试吃价:超出5千克的部分恢复 原价.邮费都为20元,总价y (单位:元)与购买水果质量x(单位:千克之间的函 甲 数图象如图所示.线下乙店的同款水果售价为每千克8元.(1)甲网店该款水果的试吃价为 元千克,原价为 元/千克; (2)购买该款水果的质量在什么范围时,在甲店购买比在乙店购买省钱? (3)若乙店对该款水果推出降价促销活动,每千克降价a元(a<8),当a满足什么 条件时,在乙店购买始终比在甲店购买省钱? 22.接种新冠病毒疫苗,建立全民免疫屏障,是战胜病毒的重要手段.北京科兴中维需 运输一批疫苗到我市疾控中心,据调查得知,2辆 A 型冷链运输车与3辆 B 型冷链 运输车一次可以运输600盒:5辆 A 型冷链运输车与6辆 B 型冷链运输车一次可以 运输1350盒. (1)求每辆 A 型车和每辆 B 型车一次可以分别运输多少盒疫苗. (2)计划用两种冷链运输车共12辆运输这批疫苗, A 型车一次需费用5000元, B 型车一次需费用3000元.若运输物资不少于1500盒,且总费用小于54000元.请你列 出所有运输方案,并指出哪种方案所需费用最少,最少费用是多少? x+2 23.感知:解不等式 >0.根据两数相除,同号得正,异号得负,得不等式组 x-1 {x+2>0, {x+2<0, ① 或不等式组② 解不等式组 ①,得 x>1;解不等式组 ②, x-1>0 x-1<0. 得 x<-2,所以原不等式的解集为 x>1 或x<-2. 2x-4 (1)探究:解不等式 <0. x+1 (2)应用:不等式 (x-3)(x+5)≤0 的解集是 .