当前位置:首页>文档>4.1函数-2022-2023学年八年级数学上册课后培优分级练(北师大版)(原卷版)_北师大初中数学_8上-北师大版初中数学_旧版_05习题试卷_1课时练习_同步练习(第2套)

4.1函数-2022-2023学年八年级数学上册课后培优分级练(北师大版)(原卷版)_北师大初中数学_8上-北师大版初中数学_旧版_05习题试卷_1课时练习_同步练习(第2套)

  • 2026-04-12 06:55:44 2026-04-12 06:44:55

文档预览

4.1函数-2022-2023学年八年级数学上册课后培优分级练(北师大版)(原卷版)_北师大初中数学_8上-北师大版初中数学_旧版_05习题试卷_1课时练习_同步练习(第2套)
4.1函数-2022-2023学年八年级数学上册课后培优分级练(北师大版)(原卷版)_北师大初中数学_8上-北师大版初中数学_旧版_05习题试卷_1课时练习_同步练习(第2套)
4.1函数-2022-2023学年八年级数学上册课后培优分级练(北师大版)(原卷版)_北师大初中数学_8上-北师大版初中数学_旧版_05习题试卷_1课时练习_同步练习(第2套)
4.1函数-2022-2023学年八年级数学上册课后培优分级练(北师大版)(原卷版)_北师大初中数学_8上-北师大版初中数学_旧版_05习题试卷_1课时练习_同步练习(第2套)
4.1函数-2022-2023学年八年级数学上册课后培优分级练(北师大版)(原卷版)_北师大初中数学_8上-北师大版初中数学_旧版_05习题试卷_1课时练习_同步练习(第2套)
4.1函数-2022-2023学年八年级数学上册课后培优分级练(北师大版)(原卷版)_北师大初中数学_8上-北师大版初中数学_旧版_05习题试卷_1课时练习_同步练习(第2套)
4.1函数-2022-2023学年八年级数学上册课后培优分级练(北师大版)(原卷版)_北师大初中数学_8上-北师大版初中数学_旧版_05习题试卷_1课时练习_同步练习(第2套)
4.1函数-2022-2023学年八年级数学上册课后培优分级练(北师大版)(原卷版)_北师大初中数学_8上-北师大版初中数学_旧版_05习题试卷_1课时练习_同步练习(第2套)
4.1函数-2022-2023学年八年级数学上册课后培优分级练(北师大版)(原卷版)_北师大初中数学_8上-北师大版初中数学_旧版_05习题试卷_1课时练习_同步练习(第2套)
4.1函数-2022-2023学年八年级数学上册课后培优分级练(北师大版)(原卷版)_北师大初中数学_8上-北师大版初中数学_旧版_05习题试卷_1课时练习_同步练习(第2套)
4.1函数-2022-2023学年八年级数学上册课后培优分级练(北师大版)(原卷版)_北师大初中数学_8上-北师大版初中数学_旧版_05习题试卷_1课时练习_同步练习(第2套)

文档信息

文档格式
docx
文档大小
0.622 MB
文档页数
11 页
上传时间
2026-04-12 06:44:55

文档内容

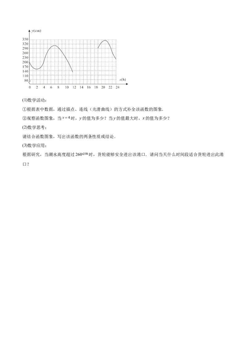
4.1 函数 课堂知识梳理 常量:在某一变化过程中,始终保持不变的量; 变量:在某一变化过程中,可以取不同数值的量. 一般地,如果在一个变化过程中有两个变量 x和y,并且对于变量x的每一个值,变量 y 都有唯一的值与它对应,那么我们称y是x的函数,其中x是自变量. 函数的表示方法一般有:列表法、关系式法和图象法. 对于自变量在可取值范围内的一个确定的值a,函数有唯一确定的对应值,这个对应值称 为当自变量等于a的函数值. 课后培优练级 练 培优第一阶——基础过关练 1.下列各图像中,y不是x的函数的是( ). A. B. C. D. 2.下列等式:①y=2x+1;② ;③ ,④y2=5x-8;⑤ .其中y是x的函数有( ) A.1个 B.2个 C.3个 D.4个 3.设路程为s(km),速度为v(km/h),时间为t(h).当 时 在这个函数关系式中 ( ) A.路程是常量,t是s的函数 B.路程是常量,t是v的函数 C.时间是常量,v是t的函数 D.速度是常量,t是v的函数 4.如图,把两根木条AB和AC的一端A用螺栓固定在一起,木条AB自由转动至AB′位置.在转动过程中,下面的量是常量的为( ) A.∠BAC的度数 B.AB的长度 C.BC的长度 D.△ABC的面积 5.当x= 时,函数y= 的函数值为( ) A.6 B.-6 C.9 D.-9 6.一蓄水池中有水30 ,打开底部排水阀门开始放水后,水池剩余的水量与放水时间有如下关系: 放水时间/分 1 2 3 4 2 2 剩余水量( ) 26 24 8 2 下列说法错误的是( )A.水池剩余水量是自变量,放水的时间是因变量 B.每分钟放水2 C.放水8分钟后,水池剩余水量为14 D.放水15分钟,水池里的水可全部放完 7.对于关系式 ,下列说法:① 是自变量, 是因变量;② 的数值可以任意选择;③ 是变量, 它的值与 无关;④这个关系式表示的变量之间的关系不能用图象表示;⑤ 与 的关系还可以用表格和 图象表示,其中正确的是____________.(只需填写序号) 8.函数 中自变量x的取值范围是________. 9.在登山过程中,海拔每升高1千米,气温下降 ,已知某登山大本营所在的位置的气温是 ,登山 队员从大本营出发登山,当海拔升高 千米时,所在位置的气温是 ,那么 与 的关系式是________. 10.为了加强公民的节水意识,某市制定了如下用水收费标准:①每户每月的用水不超过10立方米时,水 价为每立方米2.2元;②超过10立方米时,超出部分按每立方米3.5元收费,该市每户居民6月份用水 立方米 ,应交水费 元,则 与 的关系式为______. 11.一个正方形的边长为 ,它的边长减少 后,得到的新的正方形周长 与 之间的函数 关系式为 ,自变量x的取值范围是__________. 12.在弹性限度内,弹簧挂上物体后会伸长,已知一弹簧的长度y(cm)与所挂物体的质量x(kg)之间 的关系如下表: 物体的质量(kg) 0 1 2 3 4 5 弹簧的长度(cm) 12 12.5 13 13.5 14 14.5 写出y与x的关系式________. 13.已知油箱中有油25升,每小时耗油5升,则剩余油量P(升)与耗油时间t(小时)之间的函数关系 式为______.(要求写出自变量的取值范围) 14.在高速公路上,某型号汽车紧急刹车后仍将滑行一段距离s(单位:m),一般有公式 ,其中v (单位:km/h)表示刹车前汽车的速度. (1)当v为 时,相应的滑行距离s是多少? (2)在上述公式中,哪些量是变量,哪些量是常量? 15.在一次实验中,小明把一根弹簧的上端固定,在其下端悬挂物体,下表是测得的弹簧的长度 与所挂 物体的质量 的几组对应值: 所挂物体质量x/kg 0 1 2 3 4 5 弹簧长度y/cm 18 20 22 24 26 28 (1)上述表格反映了哪两个变量之间的关系?哪个是自变量?哪个是因变量? (2)写出弹簧长度 与所挂物体质量 的关系式; (3)若弹簧的长度为30cm时,此进所挂重物的质量是多少?(在弹簧的允许范围内)培优第二阶——拓展培优练 16.周末早上小敏和朋友相约开车去离市中心30km的郊外玩,玩到了傍晚准备开车回家,回家的路上小 敏开了有一会车抛锚了,于是朋友就把小敏的车用工具固定在自己的车后,拖着走了一段,路上遇到一家 修车店,小敏就把车放在店里维修,然后坐朋友的车回到了市中心,下面是小敏从郊外返回路上所用的时 间t(分钟)和离市中心距离s(km)之间的对应关系表: 2 3 5 6 t/min 10 15 25 40 45 55 60 70 0 0 0 5 1 1 s/km 24 20 15 12 12 8 5 3 1 0 6 5 根据表格中的数据判断下列哪种说法是正确的( )A.差不多开了20分钟,小敏的车抛锚了 B.从抛锚点到修车店,花了差不多10分钟 C.修车店在离市中心15km处 D.离市中心5km处可能开始堵车 17.如图,点A的坐标为(0,1),点B是x轴正半轴上的一动点,把线段AB以A为旋转中心,逆时针 方向旋转90°,得到线段AC,设点B的横坐标为x,点C的纵坐标为y,能表示y与x的函数关系的图象 大致是( )A. B. C. D. 18.甲、乙两人一起沿着同一路线匀速从A地出发到B地,途中甲发现忘记带钱包,立即以原速原路返回, 乙则以原速的 倍速度继续匀速前行,甲返回A地后取钱包花了2分钟,取到钱包后以之前速度的1.5倍 速度追乙.甲乙两人之间的距离y(米)与甲出发的时间x(分)之间的函数关系如图所示,则下列说法错 误的是( ) A.甲返回前的速度为 B.甲取到钱包开始追乙时,两人相距595米 C.甲追乙的时间为8.5分钟 D.甲追上乙时,甲走的总路程为1592米 19.A、B两地在一条笔直的公路上,甲从A地出发前往B地、乙从B地出发前往A地.两人同时出发, 甲到达B地后停止,乙继续前进到达A地,下图表示两人的距离y(米)与时间x(分)间的函数关系,则 下列结论中正确的个数有( ) ①A、B两地的距离是1200米 ②两人出发4分钟相迎 ③甲的速度是100米/分 ④乙出发12分钟到达A地 A.1个 B.2个 C.3个 D.4个 20.甲乙两位同学住在同一小区,学校与小区相距2700米,一天甲从小区步行出发去学校,12分钟后乙 先骑共享自行车,途经学校又骑行一段路到达还车点后,立即步行走回学校.已知步行速度甲比乙每分钟 快5米.图中的折线表示甲乙两人之间的距离 (米)与甲步行时间 (分钟)的函数关系图像,根据图像可知:甲步行速度为______米/分;乙骑自行车的速度为______米/分;乙到还车点时,甲乙两人相距 _______米. 21.中国联通在某地的资费标准为包月186元时,超出部分国内拨打0.36元/分(不足1分钟按1分钟时间 收费).下表是超出部分国内拨打的收费标准: 时间/分 1 2 3 4 5 … 电话费/元 0.36 0.72 1.08 1.44 1.8 … (1)这个表反映了哪两个变量之间的关系?哪个是自变量?哪个是因变量? (2)如果用x表示超出时间,y表示超出部分的电话费,那么y与x的表达式是什么? (3)由于业务多,小明的爸爸上月打电话已超出了包月费.如果国内拨打电话超出25分钟,他需付多少电 话费? (4)某用户某月国内拨打电话的费用超出部分是54元,那么他当月打电话超出几分钟? 22.小明从家出发骑自行车去上学,当他以往常的速度骑了一段路后,突然想起要买文具,于是又折回到 刚经过的某文具店,买到文具后继续骑车去学校,如图是他本次上学所用的时间与离家的距离之间的关系 图,根据图中提供的信息回答下列问题:(1)小明家到学校的距离是 米,文具店到学校的距离是 米; (2)小明在文具店停留了 分钟,本次上学途中,小明一共行驶了 米; (3)在整个上学途中,哪个时间段小明骑车速度最快?最快的速度是多少? (4)如图小明不买文具,以往常的速度去学校,需要花费多长时间? 培优第三阶——中考沙场点兵 23.(2022·湖北武汉·中考真题)匀速地向一个容器内注水,最后把容器注满.在注水过程中,水面高度 随时间 的变化规律如图所示(图中 为一折线).这个容器的形状可能是( ) A. B. C. D. 24.(2022·北京·中考真题)下面的三个问题中都有两个变量: ①汽车从A地匀速行驶到B地,汽车的剩余路程y与行驶时间x; ②将水箱中的水匀速放出,直至放完,水箱中的剩余水量y与放水时间x;③用长度一定的绳子围成一个矩形,矩形的面积y与一边长x,其中,变量y与变量x之间的函数关系可以 利用如图所示的图象表示的是( ) A.①② B.①③ C.②③ D.①②③ 25.(2022·四川乐山·中考真题)甲、乙两位同学放学后走路回家,他们走过的路程s(千米)与所用的时 间t(分钟)之间的函数关系如图所示.根据图中信息,下列说法错误的是( ) A.前10分钟,甲比乙的速度慢 B.经过20分钟,甲、乙都走了1.6千米 C.甲的平均速度为0.08千米/分钟 D.经过30分钟,甲比乙走过的路程少 26.(2022·江苏连云港·中考真题)函数 中自变量 的取值范围是( ) A. B. C. D. 27.(2022·湖北随州·中考真题)已知张强家、体育场、文具店在同一直线上.下面的图象反映的过程是: 张强从家跑步去体育场,在那里锻炼了一阵后又走到文具店去买笔,然后散步走回家.图中x表示时间,y 表示张强离家的距离.则下列结论不正确的是( )A.张强从家到体育场用了15min B.体育场离文具店1.5km C.张强在文具店停留了20min D.张强从文具店回家用了35min 28.(2022·黑龙江大庆·中考真题)函数 叫做高斯函数,其中x为任意实数, 表示不超过x的最 大整数.定义 ,则下列说法正确的个数为( ) ① ; ② ; ③高斯函数 中,当 时,x的取值范围是 ; ④函数 中,当 时, . A.0 B.1 C.2 D.3 29.(2022·内蒙古呼和浩特·中考真题)某超市糯米的价格为5元/千克,端午节推出促销活动:一次购买 的数量不超过2千克时,按原价售出,超过2千克时,超过的部分打8折.若某人付款14元,则他购买了 _______千克糯米;设某人的付款金额为 元,购买量为 千克,则购买量 关于付款金额 的函数 解析式为______. 30.(2022·浙江嘉兴·中考真题)6月13日,某港口的潮水高度y( )和时间x(h)的部分数据及函数 图象如下: x(h) … 11 12 13 14 15 16 17 18 … y( ) … 189 137 103 80 101 133 202 260 … (数据来自某海洋研究所)(1)数学活动: ①根据表中数据,通过描点、连线(光滑曲线)的方式补全该函数的图象. ②观察函数图象,当 时,y的值为多少?当y的值最大时,x的值为多少? (2)数学思考: 请结合函数图象,写出该函数的两条性质或结论. (3)数学应用: 根据研究,当潮水高度超过260 时,货轮能够安全进出该港口.请问当天什么时间段适合货轮进出此港 口?