非标设计-齿轮5|SolidWorks常用的齿轮设计软件与参数调整
点击蓝字 关注我们
Enjoy your summer time

ME-shelf
机械小知识
之前讲了很多关于齿轮的理论知识,理论计算是设计的基础,实际的工作中我们还是常用一些现成的设计工具,今天就为大家介绍两种非常常用的设计工具,顺便介绍一下齿轮传动计算不合格时如何调整参数,作为我们齿轮部分的最后一篇介绍
一、使用SW中的toolbox插件进行齿轮生成
1.toolbox插件的使用流程
(1)调出toolbox插件

(2)toolbox生成齿轮零件

toolbox是一个通过利用SW软件中的宏程序,要去指定或给定相关的核心参数,零件生成之后,要注意去掉其他参考
注意:零件生成后,需要另存为x-t或其他中间格式,toolbox零件在其他电脑上打开的会后,容易出现参数跳动的问题
2.简单的案例演示
生成一对斜齿轮
模数m:3;齿数z:小齿数Z1=34、大齿数Z2=107;螺旋角β:8°;齿宽:b=100


二、使用第三方插件进行齿轮传动选型计算
1.介绍一个非常好用的第三方软件:大国工匠
参考网址:https://www.global-dsc.cn/dggj

它将常用的齿轮传动机构选型计算、设计计算、强度计算流程全部封装,实现直接输入工况参数,得到求解的几何参数
2.选型插件使用流程
(1)圆柱齿轮设计插件
①向导

-
齿轮啮合的类型
-
几何计算(中心距与模数、齿数之间的相互转换)
-
已知a,求解m、z
-
已知a、m,求解z
-
已知m、z、x,求解a(常用)
-
载荷计算(针对小齿轮):常用已知P1、n1,求解MK1
②设计参数

-
用基本参数:齿数比、齿数定义、压力角、螺旋角、模数;求解中心距a
-
单位齿尺寸
-
齿宽:保持默认
-
变位系数:保持为0
(2)圆锥齿轮设计插件

①齿轮类型
-
自定义弧齿
-
直线齿锥齿轮
-
弧齿锥齿轮
-
摆线齿锥齿轮
②设计基本参数

-
轴交角(即两个锥齿轮中心线的交角):正交传动,轴交角=90°;斜交传动,轴交角=0°~180°,≠90°;共轴线传动,轴交角=0°/180°
-
齿数比
-
齿数
-
大端模数:根据强度计算初步定义,然后按照”标准系列模数”或者使用插件:可以根据最终的强度计算情况,适当调整大端面模数
(3)蜗轮蜗杆设计插件:使用方法与上面类似

三、齿轮类传动机构手动计算核心固有流程分析1.齿轮类传动设计计算的固有流程(1)依据产品需求,进行问题背景的整理包括:已知条件和求解量的定义(2)选定齿轮传动类型,确定相关材料类型及传动精度①传动类型的确定跟实际机构运动相关②齿轮机构选用何种材料:通过材料类型,去确定接触疲劳强度和弯曲疲劳强度极限值(3)根据接触疲劳或弯曲疲劳强度极限值与模数、分度圆的理论公式进行模数/分度圆直径的试算圆柱直齿轮:

圆锥齿轮:

圆柱蜗轮蜗杆:

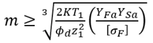
(4)核算相关载荷系数,进行参数校核①查表寻找相关的载荷系数,通过理论公式分度圆、模数的校核②注意:不同机构不同工况时载荷系数的查询(5)根据理论公式,求解齿轮机构剩余的其他核心参数①必须确定核心参数:分度圆直径、模数、齿数②剩余参数,代入理论公式计算即可四、解决齿轮传动设计计算所需要的知识体系1.问题整合及转换能力(1)将物理运动问题转换为对应结构的设计计算问题(2)设计计算问题转换为基于软件的三维建模问题(3)三维建模问题转换为基于加工工艺的出图问题2.基本的选型计算概念:不同运动状态下的物理量计算问题,是运动学还是动力学3.特殊机构的设计计算流程及相关核心公式,例如:齿轮啮合、齿轮齿条、圆柱蜗轮蜗杆等等4.实际工况中,物体的运动状况,是什么样的物理运动?采用什么样的机构来实现?等等五、当齿轮传动计算不合格时,如何调整相关参数1.不合格的类型有哪些?(1)尺寸与实际工况相差太多(2)在这种工况下,齿轮的强度不足2.解决这个问题的核心关键点:明确相关公式中的可变化量,哪个参数在你的工况下是可变的,通过增强或减弱这些参数更改设计,以达到强度要求核心公式是弯曲强度设计计算公式

相关参数:
-
K:载荷系数
-
T1:小齿轮传递功率

-
Φd:齿宽系数
-
Z1:小齿轮齿数
-
YFa:齿形系数
-
YSa:应力校正系数

微信号
ME-shelf
欢迎私信
夜雨聆风