乐于分享
好东西不私藏

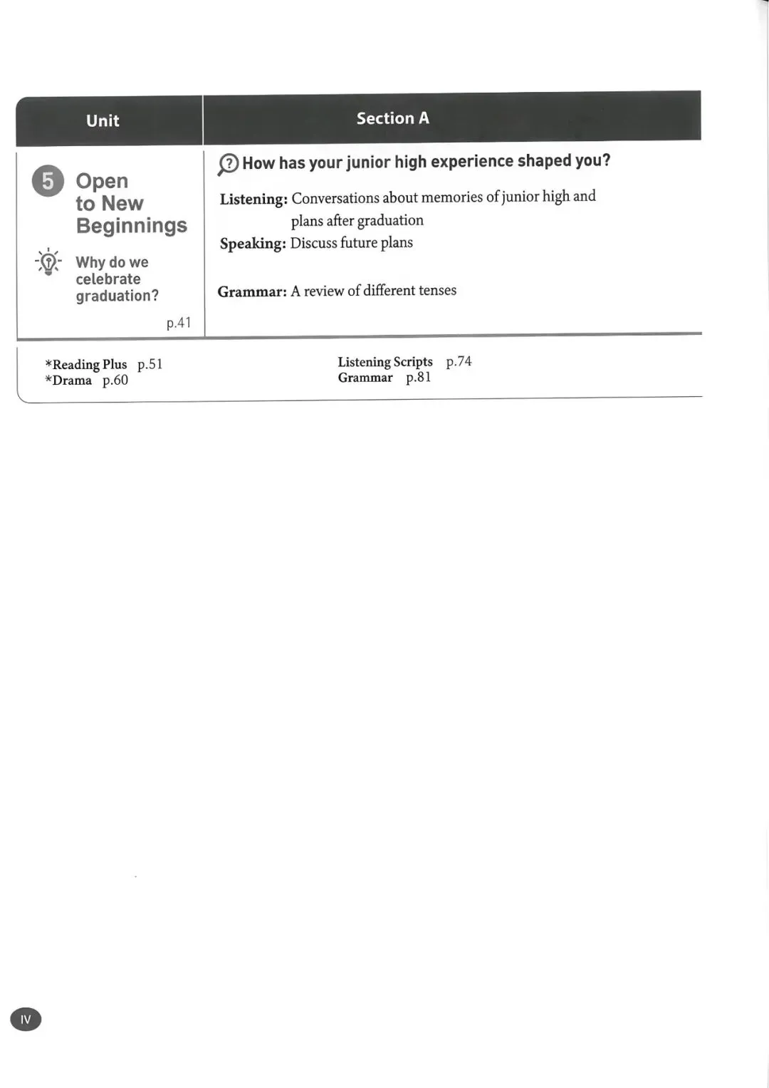
人教版九年级英语下册新教材电子版,免费分享

人教版九年级英语下册新教材电子版,免费分享

今日分享:人教版九年级英语下册新教材电子版,需要的拉到文末领取。
声明:此电子资源来源于网络,非最终版本,分享仅限于提前了解新教材变化情况,不得商用,不得用此教材开展教育教学活动或学习。

电子版请拉到文末领取

电子版请拉到文末领取

电子版请拉到文末领取

篇幅有限,不再过多展示

喜欢拉至下方下载电子版

本公众号分享的资源均通过网络渠道获得,版权属于出版机构或原作者,本号不负任何法律责任。本资源为电子载体,传播分享仅限于家庭使用或交流心得,不得商用,否则后果自负,如原作者认为侵权请联系删除。

电子版领取步骤:

步:点击右下点赞+推荐
步:点击右下角分享将本文分享到朋友圈
      第步:关注下方『起点数学课』微信公进入公众号,进入聊天界面,点击左下角的键盘图标,在聊天界面输入20260418(直接复制)发送即可免费领取。
提示:要在聊天窗口输入前面8位数字才会收到资料哦,不是在留言区留言。

更多资料进群领取长按识别下方二维码加入资料群,每日分享中小学资源,备注“入群”,否则不会主动邀请进群哦。