近十年天津卷导数压轴(可打印版)来了!
与君共勉:

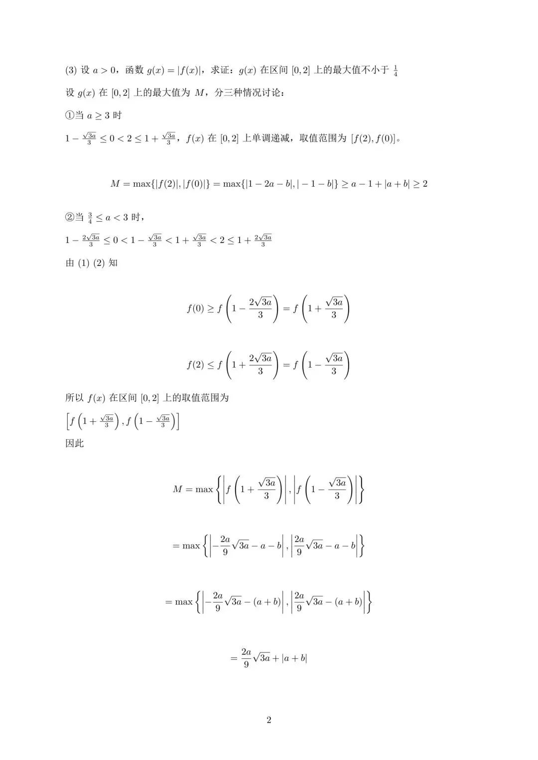
作者用latex整理了一上午 终于把近十年的天津卷导数压轴给大家整理成了可以方便打印的版本(因为要的读者太多了 唉没办法我就是这么有求必应哈哈) 这篇文章里发的是图片 如果想要PDF版 可以加作者QQ领取:2965623414
如下:



























大家不要太感动哈哈哈 我已经被自己感动死了 整理了一上午哈哈
速递速递:
果然人做自己喜欢的事情就不会感觉累 我现在还没吃饭呢 一直在搞这篇文章 但是也不觉得很累
but 每次一写英语 写一会就受不了了哈哈哈哈哈哈哈
没速递了今天 我下午还有好多事要干 现在去吃饭去~
夜雨聆风