初中数学 八年级下册《核心考点》含答案(可打印)
八年级下册数学《核心考点》
网盘下载链接详见页面底部
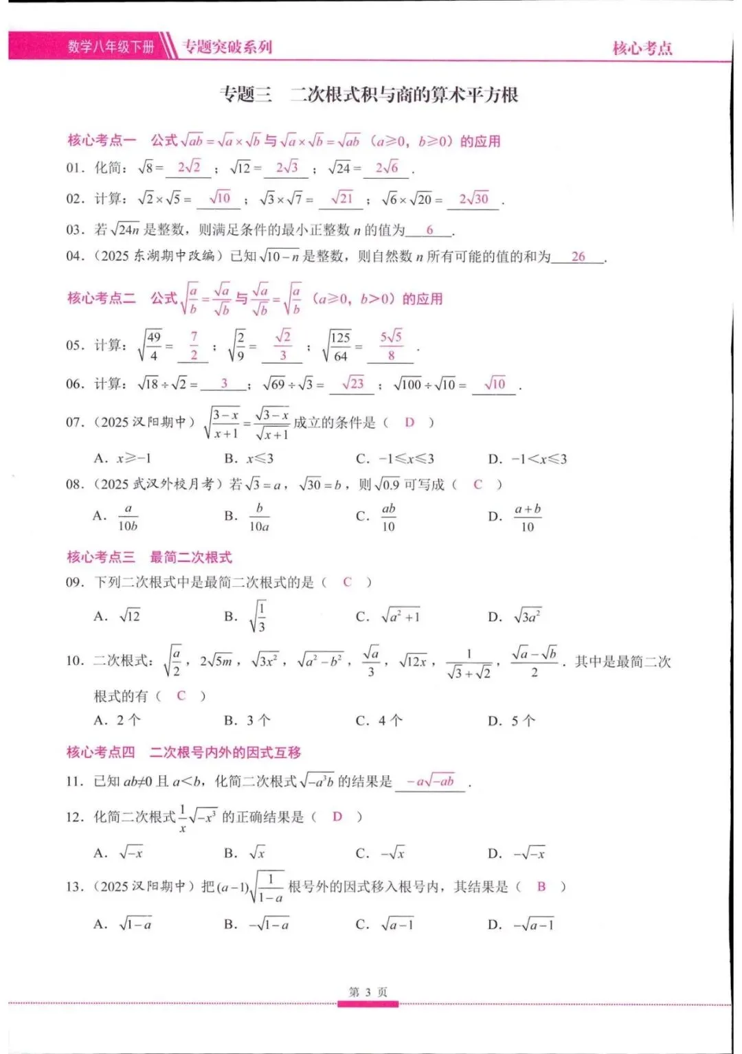
▼部分内容预览▼




版面所限,此处仅展示部分内容
更多内容请自行下载观看
下载链接
重要说明
图文音视频素材来源网络,本公众号只作公益性分享,版权归原作者,如有侵权请联系删除。
请点个在看,谢谢鼓励哦
初中数学 八年级下册《核心考点》含答案(可打印)
八年级下册数学《核心考点》
网盘下载链接详见页面底部
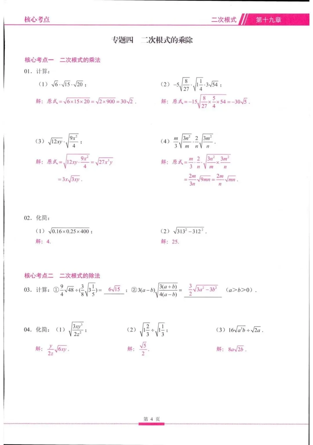
▼部分内容预览▼




版面所限,此处仅展示部分内容
更多内容请自行下载观看
下载链接
重要说明
图文音视频素材来源网络,本公众号只作公益性分享,版权归原作者,如有侵权请联系删除。
请点个在看,谢谢鼓励哦